Официальное опубликование правовых актов
ОФИЦИАЛЬНОЕ ОПУБЛИКОВАНИЕ
Постановление Правительства Оренбургской области от 30.09.2025 № 1067-пп
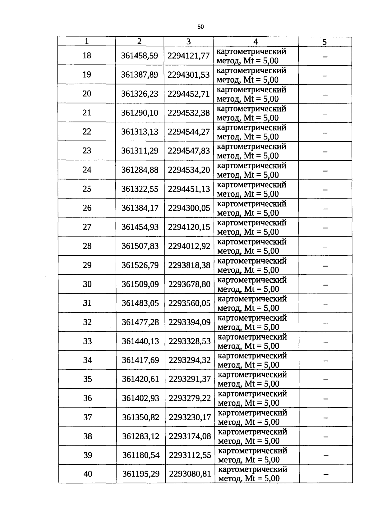
"Об утверждении границ охранных зон газораспределительных сетей и наложении ограничений на входящие в них земельные участки, расположенные на территории муниципальных образований Акбулакский муниципальный район Оренбургской области, Соль-Илецкий муниципальный округ Оренбургской области, Александровский муниципальный район Оренбургской области"
Номер опубликования: 5600202510060007
Дата опубликования: 06.10.2025
Страница №50 из 113:
Увеличить