Официальное опубликование правовых актов
ОФИЦИАЛЬНОЕ ОПУБЛИКОВАНИЕ
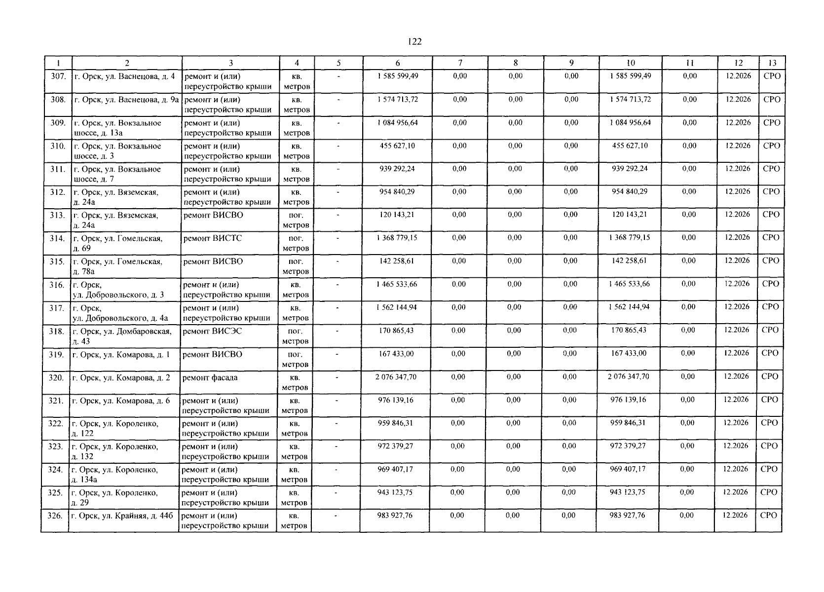
Постановление Правительства Оренбургской области от 19.08.2025 № 875-пп
"Об утверждении краткосрочного плана реализации региональной программы "Проведение капитального ремонта общего имущества в многоквартирных домах, расположенных на территории Оренбургской области" на 2026–2028 годы"
Номер опубликования: 5600202508220003
Дата опубликования: 22.08.2025
Страница №122 из 143:
Увеличить