Официальное опубликование правовых актов
ОФИЦИАЛЬНОЕ ОПУБЛИКОВАНИЕ
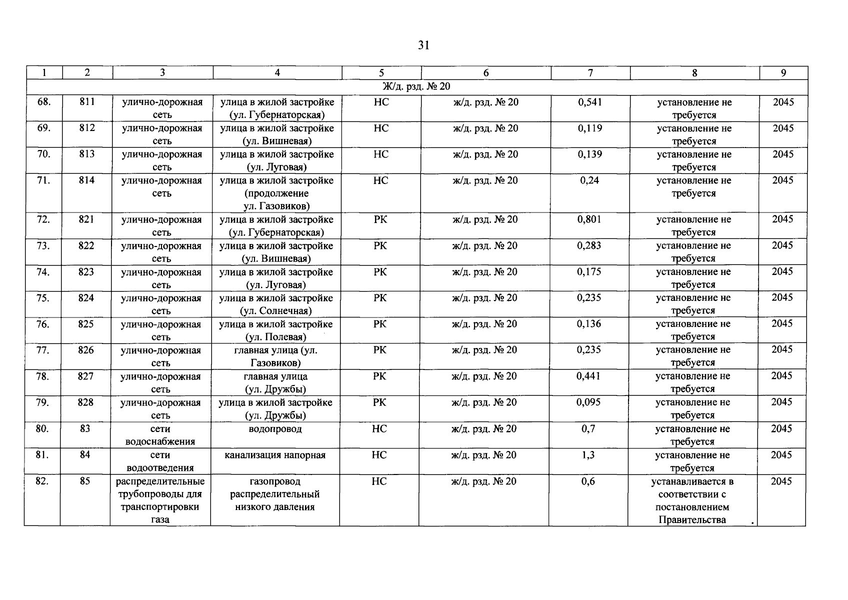
Постановление Правительства Оренбургской области от 05.08.2025 № 829-пп
"Об утверждении генерального плана муниципального образования сельское поселение Экспериментальный сельсовет Оренбургского муниципального района Оренбургской области"
Номер опубликования: 5600202508080007
Дата опубликования: 08.08.2025
Страница №31 из 159:
Увеличить