Официальное опубликование правовых актов
ОФИЦИАЛЬНОЕ ОПУБЛИКОВАНИЕ
Постановление Правительства Оренбургской области от 13.02.2025 № 149-пп
"О внесении изменений в постановление Правительства Оренбургской области от 25.12.2024 № 1320-пп"
Номер опубликования: 5600202502210001
Дата опубликования: 21.02.2025
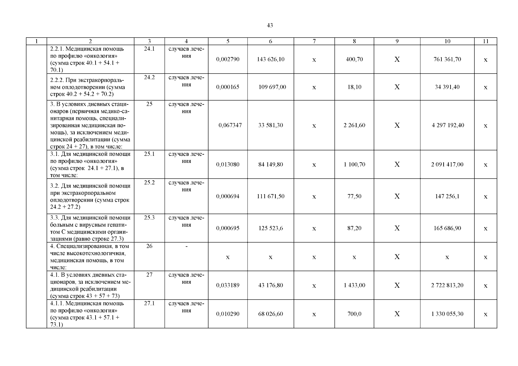
Страница №43 из 108:
Увеличить