Официальное опубликование правовых актов
ОФИЦИАЛЬНОЕ ОПУБЛИКОВАНИЕ
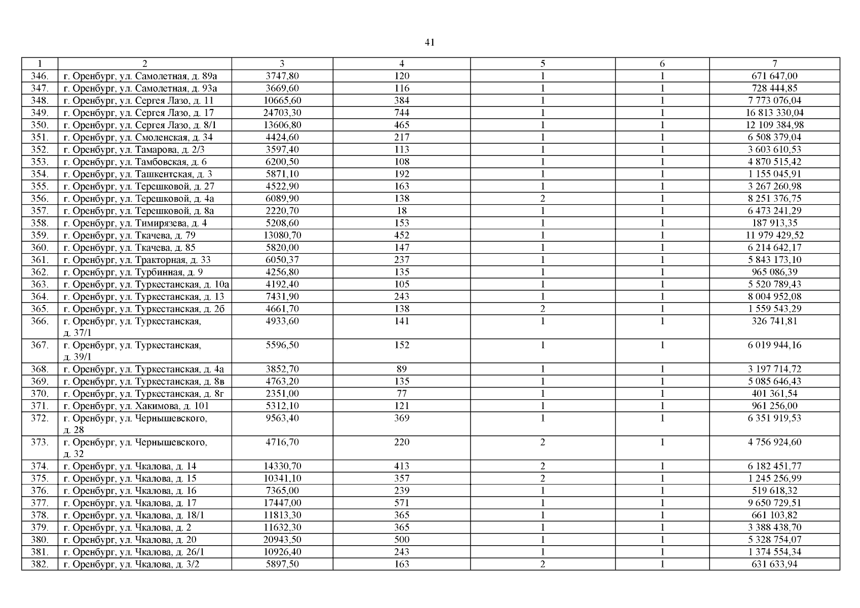
Постановление Правительства Оренбургской области от 25.12.2024 № 1228-пп
"О внесении изменений в постановление Правительства Оренбургской области от 27 сентября 2023 года № 945-пп"
Номер опубликования: 5600202501040062
Дата опубликования: 04.01.2025
Страница №41 из 419:
Увеличить