Официальное опубликование правовых актов
ОФИЦИАЛЬНОЕ ОПУБЛИКОВАНИЕ
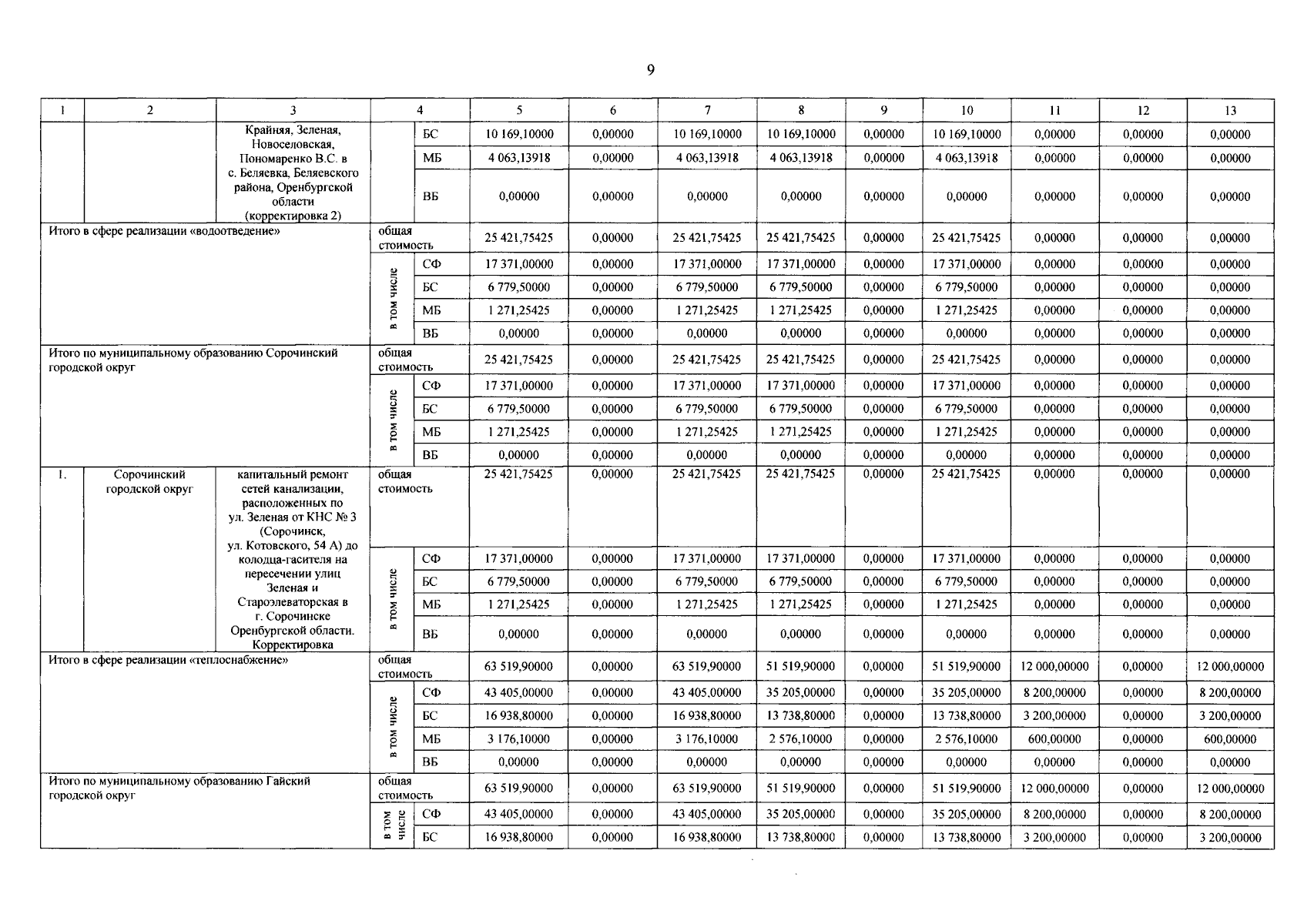
Постановление Правительства Оренбургской области от 25.12.2024 № 1218-пп
"О внесении изменений в постановление Правительства Оренбургской области от 31 марта 2023 года № 315-пп"
Номер опубликования: 5600202412280050
Дата опубликования: 28.12.2024
Страница №9 из 17:
Увеличить