Официальное опубликование правовых актов
ОФИЦИАЛЬНОЕ ОПУБЛИКОВАНИЕ
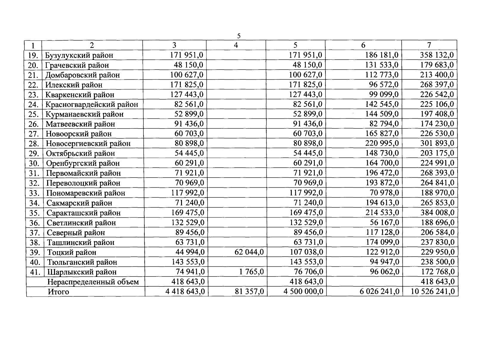
Закон Оренбургской области от 16.12.2024 № 1365/583-VII-ОЗ
"О внесении изменений в Закон Оренбургской области "Об областном бюджете на 2024 год и на плановый период 2025 и 2026 годов"
Номер опубликования: 5600202412170001
Дата опубликования: 17.12.2024
Страница №1143 из 1338:
Увеличить