Официальное опубликование правовых актов
ОФИЦИАЛЬНОЕ ОПУБЛИКОВАНИЕ
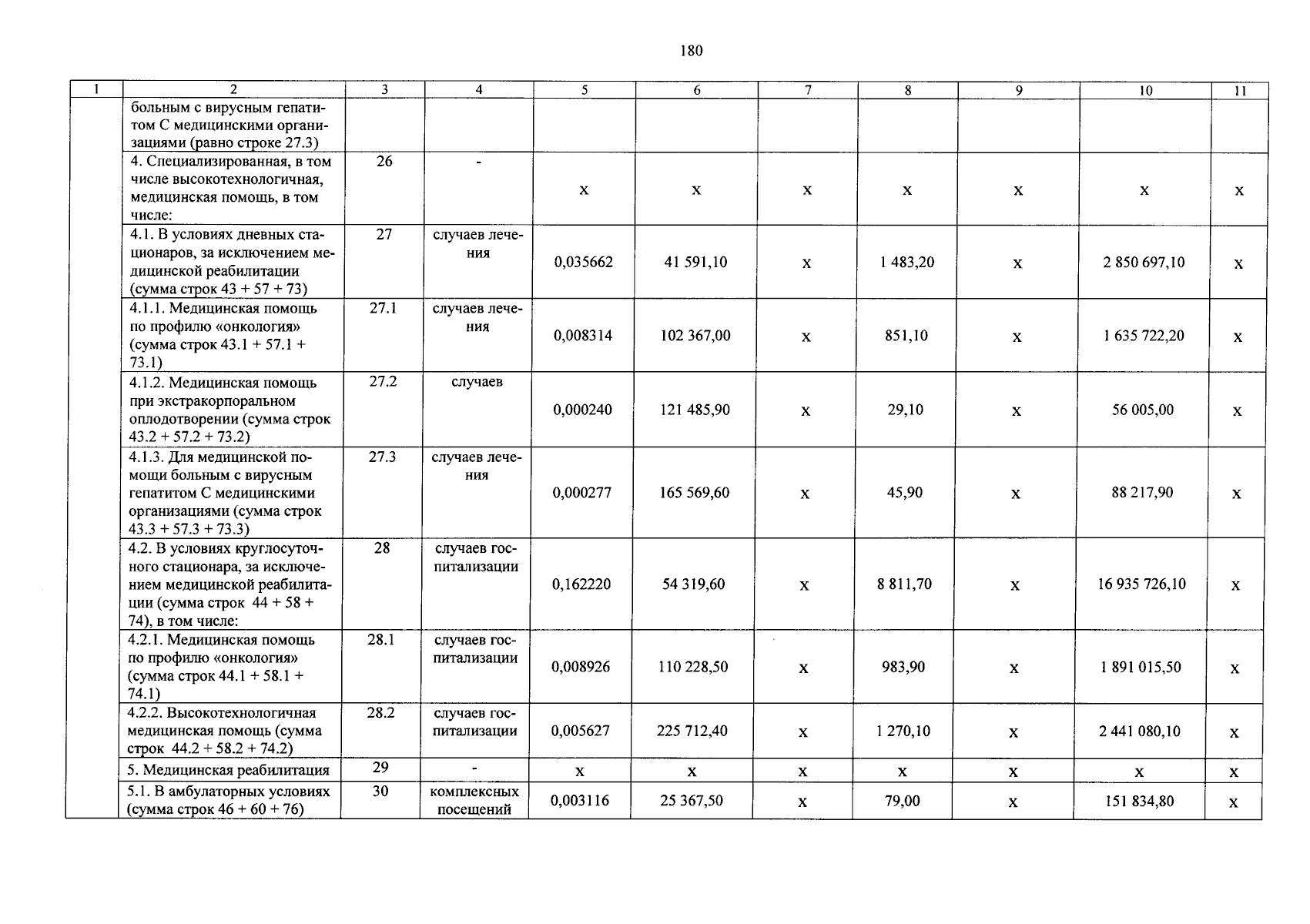
Постановление Правительства Оренбургской области от 26.12.2023 № 1424-пп
"О территориальной программе государственных гарантий бесплатного оказания гражданам на территории Оренбургской области медицинской помощи на 2024 год и на плановый период 2025 и 2026 годов"
Номер опубликования: 5600202312290042
Дата опубликования: 29.12.2023
Страница №180 из 214:
Увеличить