Официальное опубликование правовых актов
ОФИЦИАЛЬНОЕ ОПУБЛИКОВАНИЕ
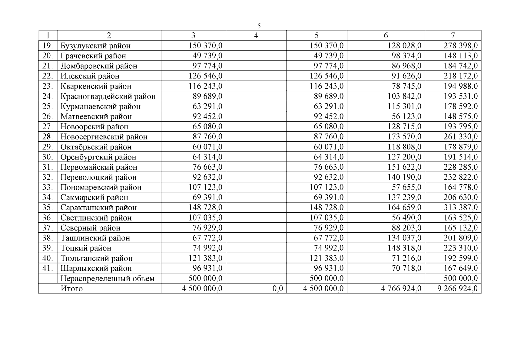
Закон Оренбургской области от 14.12.2023 № 990/398-VII-ОЗ
"О внесении изменений в Закон Оренбургской области "Об областном бюджете на 2023 год и на плановый период 2024 и 2025 годов"
Номер опубликования: 5600202312150005
Дата опубликования: 15.12.2023
Страница №1234 из 1448:
Увеличить