Официальное опубликование правовых актов
ОФИЦИАЛЬНОЕ ОПУБЛИКОВАНИЕ
Постановление Правительства Оренбургской области от 27.09.2023 № 945-пп
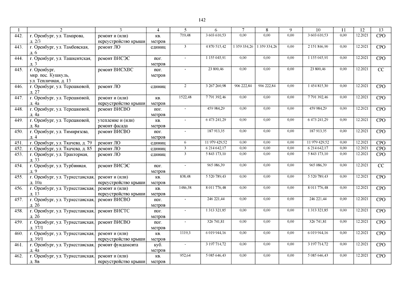
"Об итогах выполнения краткосрочного плана реализации региональной программы "Проведение капитального ремонта общего имущества в многоквартирных домах, расположенных на территории Оренбургской области, в 2014–2043 годах" на 2020–2022 годы"
Номер опубликования: 5600202310030001
Дата опубликования: 03.10.2023
Страница №142 из 413:
Увеличить