Официальное опубликование правовых актов
ОФИЦИАЛЬНОЕ ОПУБЛИКОВАНИЕ
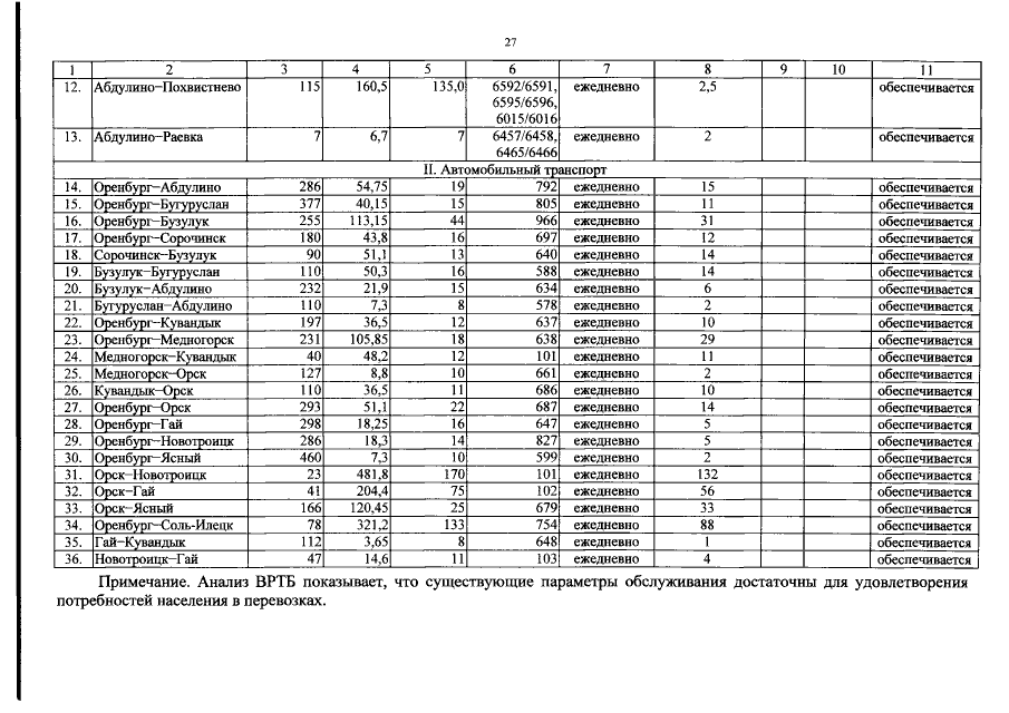
Постановление Правительства Оренбургской области от 16.05.2016 № 326-п
"Об утверждении комплексного плана транспортного обслуживания населения Оренбургской области на средне- и долгосрочную перспективу (до 2030 года) в части пригородных пассажирских перевозок"
Номер опубликования: 5600201605190001
Дата опубликования: 19.05.2016
Страница №27 из 44:
Увеличить