Официальное опубликование правовых актов
ОФИЦИАЛЬНОЕ ОПУБЛИКОВАНИЕ
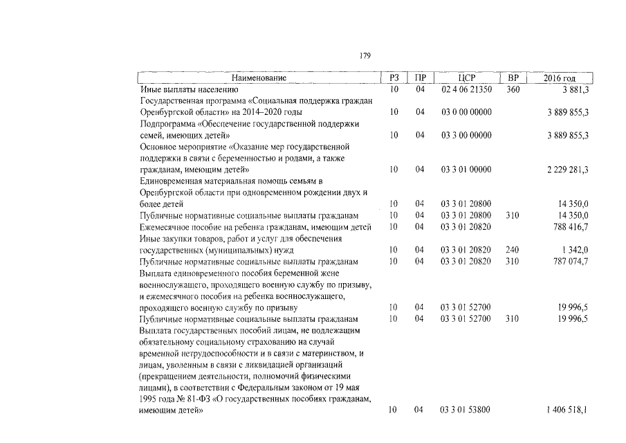
Закон Оренбургской области от 28.04.2016 № 3808/1042-V-ОЗ
"О внесении изменений в Закон Оренбургской области "Об областном бюджете на 2016 год"
Номер опубликования: 5600201605040008
Дата опубликования: 04.05.2016
Страница №442 из 663:
Увеличить