Официальное опубликование правовых актов
ОФИЦИАЛЬНОЕ ОПУБЛИКОВАНИЕ
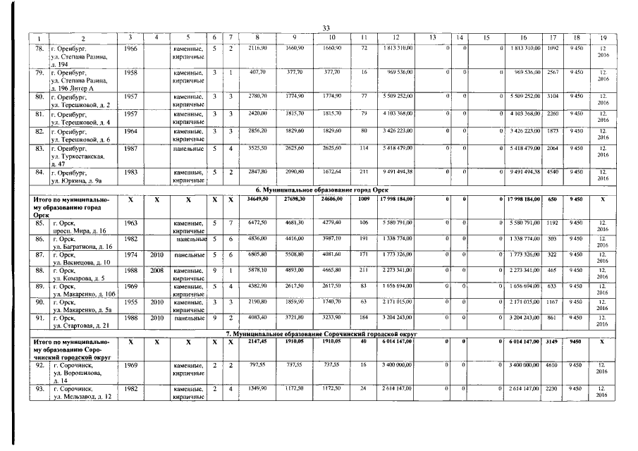
Постановление Правительства Оренбургской области от 18.04.2016 № 266-п
"О внесении изменений в постановление Правительства Оренбургской области от 20 июня 2014 года № 404-п"
Номер опубликования: 5600201604220007
Дата опубликования: 22.04.2016
Страница №33 из 104:
Увеличить