Официальное опубликование правовых актов
ОФИЦИАЛЬНОЕ ОПУБЛИКОВАНИЕ
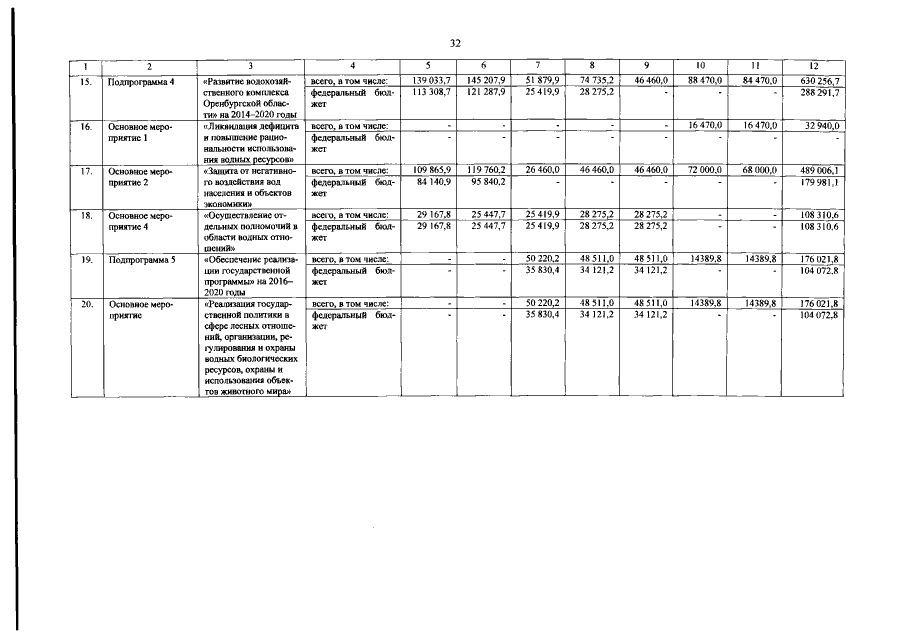
Постановление Правительства Оренбургской области от 29.01.2016 № 45-пп
"О внесении изменения в постановление Правительства Оренбургской области от 30 августа 2013 года № 732-пп"
Номер опубликования: 5600201602040009
Дата опубликования: 04.02.2016
Страница №32 из 84:
Увеличить