Официальное опубликование правовых актов
ОФИЦИАЛЬНОЕ ОПУБЛИКОВАНИЕ
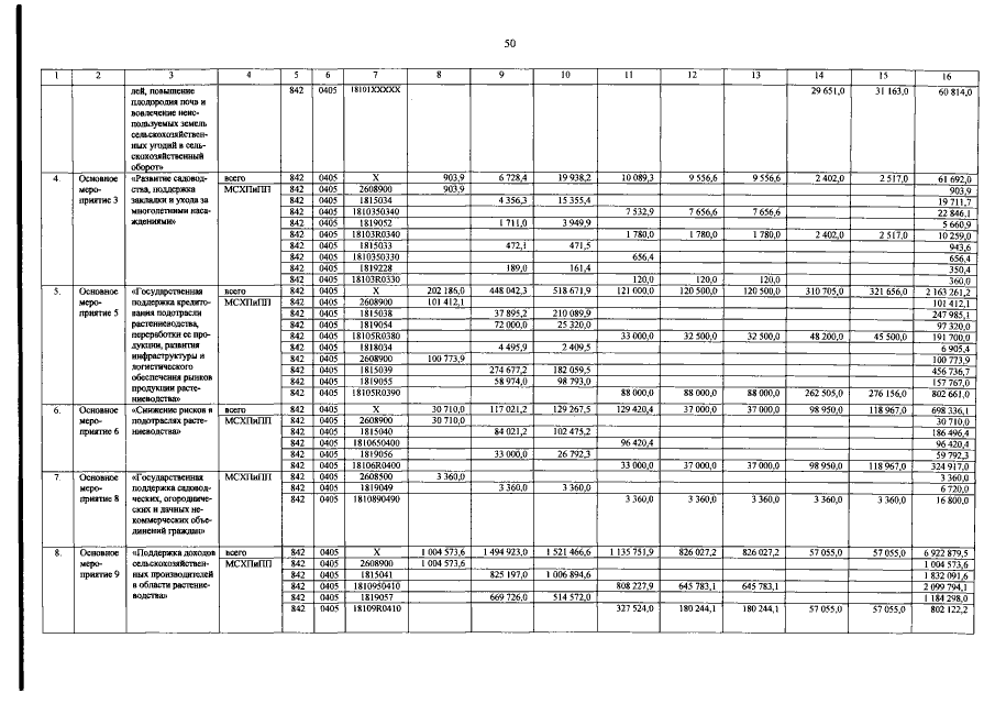
Постановление Правительства Оренбургской области от 21.01.2016 № 28-пп
"О внесении изменения в постановление Правительства Оренбургской области от 31 августа 2012 года № 751-пп"
Номер опубликования: 5600201601260003
Дата опубликования: 26.01.2016
Страница №50 из 194:
Увеличить