Официальное опубликование правовых актов
ОФИЦИАЛЬНОЕ ОПУБЛИКОВАНИЕ
Постановление Правительства Оренбургской области от 15.01.2016 № 5-пп
"О внесении изменения в постановление Правительства Оренбургской области от 14.10.2013 № 836-пп"
Номер опубликования: 5600201601210007
Дата опубликования: 21.01.2016
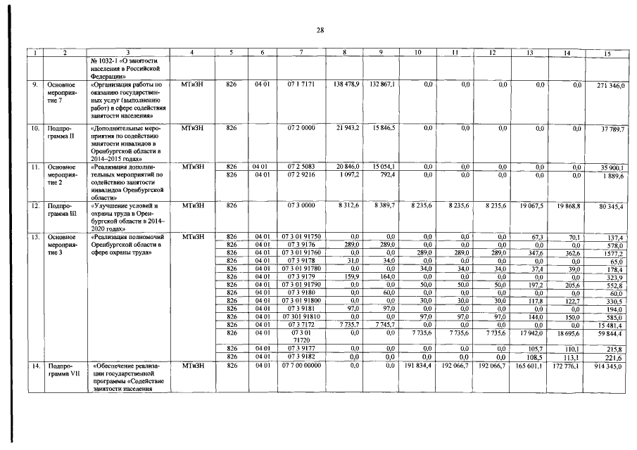
Страница №28 из 73:
Увеличить