Официальное опубликование правовых актов
ОФИЦИАЛЬНОЕ ОПУБЛИКОВАНИЕ
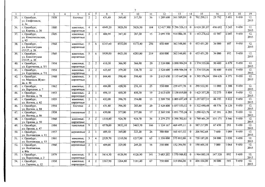
Постановление Правительства Оренбургской области от 10.07.2015 № 546-п
"О внесении изменения в постановление Правительства Оренбургской области от 20 июня 2014 года № 404-п"
Номер опубликования: 5600201507160007
Дата опубликования: 16.07.2015
Страница №7 из 57:
Увеличить