Официальное опубликование правовых актов
ОФИЦИАЛЬНОЕ ОПУБЛИКОВАНИЕ
Приказ Министерства культуры Омской области от 06.03.2026 № 14
"Об установлении зон охраны объекта культурного наследия (памятника истории и культуры) народов Российской Федерации регионального значения и утверждении требований к градостроительным регламентам в границах данных зон"
(Зарегистрирован 06.03.2026 № 7402)
Номер опубликования: 5501202603060001
Дата опубликования: 06.03.2026
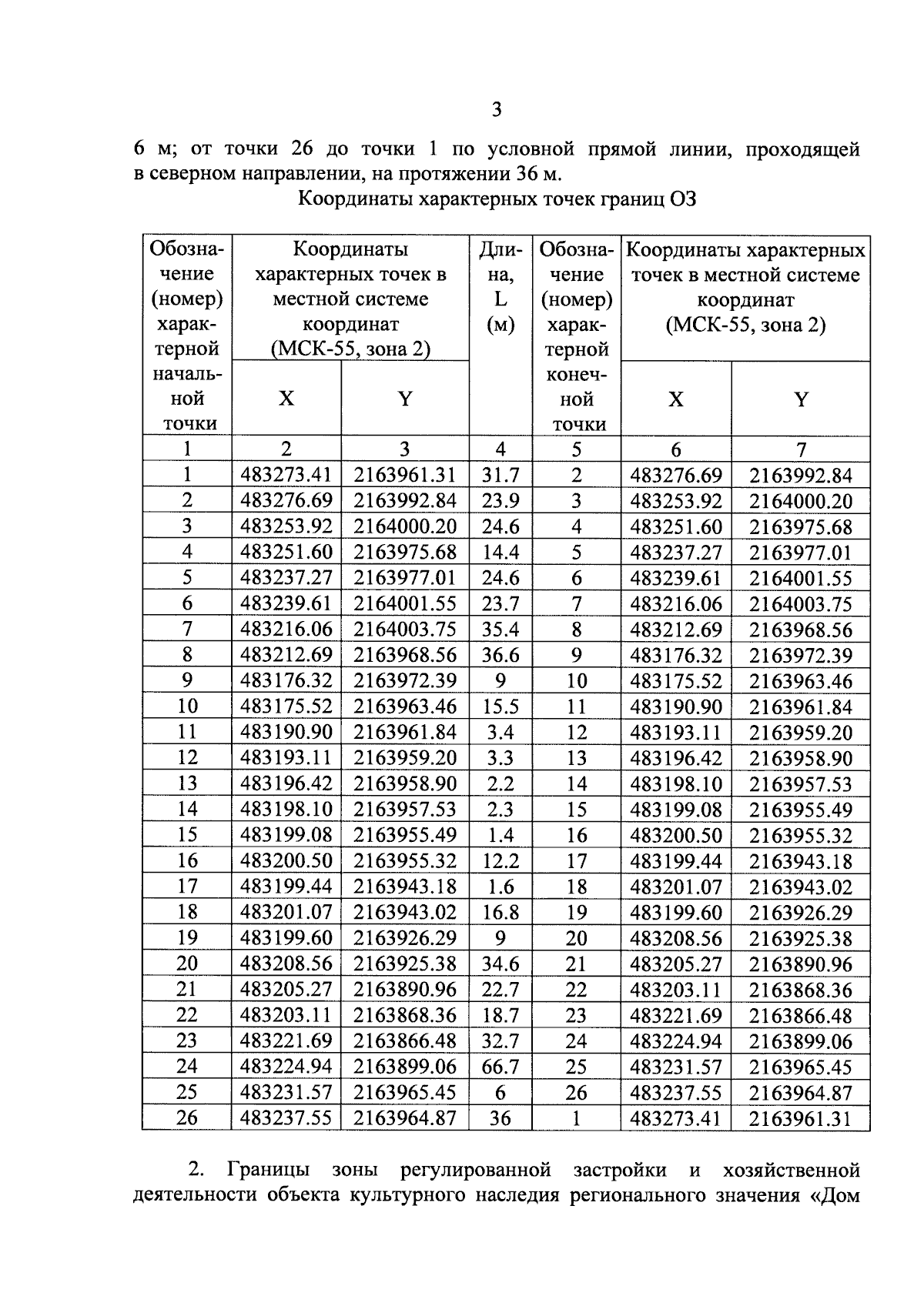
Страница №4 из 10:
Увеличить