Официальное опубликование правовых актов
ОФИЦИАЛЬНОЕ ОПУБЛИКОВАНИЕ
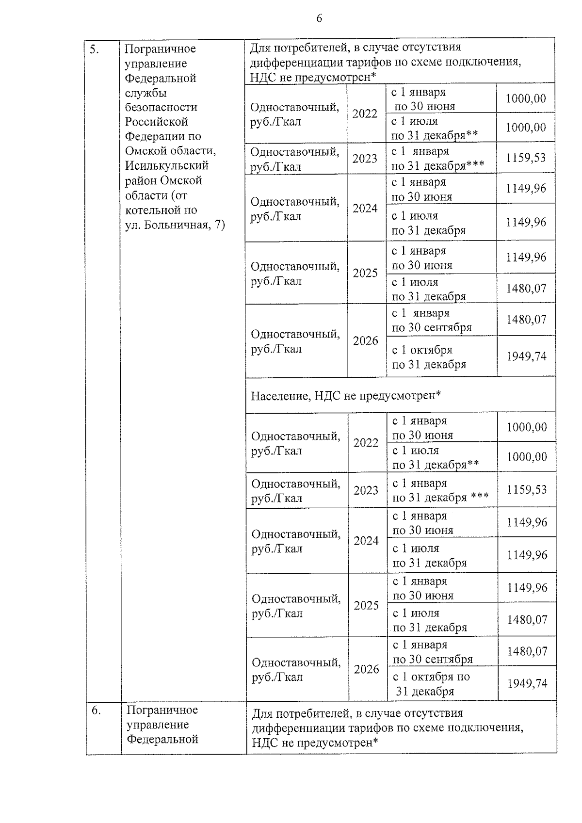
Приказ Региональной энергетической комиссии Омской области от 16.12.2025 № 255/90
"О корректировке на 2026 год тарифов на тепловую энергию, поставляемую потребителям Пограничного управления Федеральной службы безопасности Российской Федерации по Омской области, установленных на долгосрочный период регулирования"
(Зарегистрирован 18.12.2025 № 6693)
Номер опубликования: 5501202512180022
Дата опубликования: 18.12.2025
Страница №6 из 7:
Увеличить