Официальное опубликование правовых актов
ОФИЦИАЛЬНОЕ ОПУБЛИКОВАНИЕ
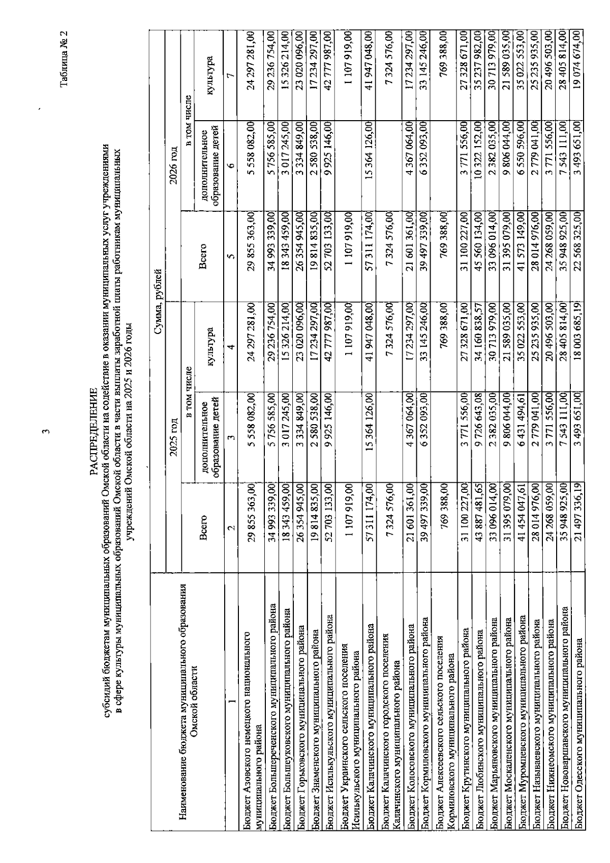
Закон Омской области от 26.02.2026 № 2922-ОЗ
"О внесении изменений в Закон Омской области "Об областном бюджете на 2025 год и на плановый период 2026 и 2027 годов"
Номер опубликования: 5500202602270008
Дата опубликования: 27.02.2026
Страница №364 из 379:
Увеличить