Официальное опубликование правовых актов
ОФИЦИАЛЬНОЕ ОПУБЛИКОВАНИЕ
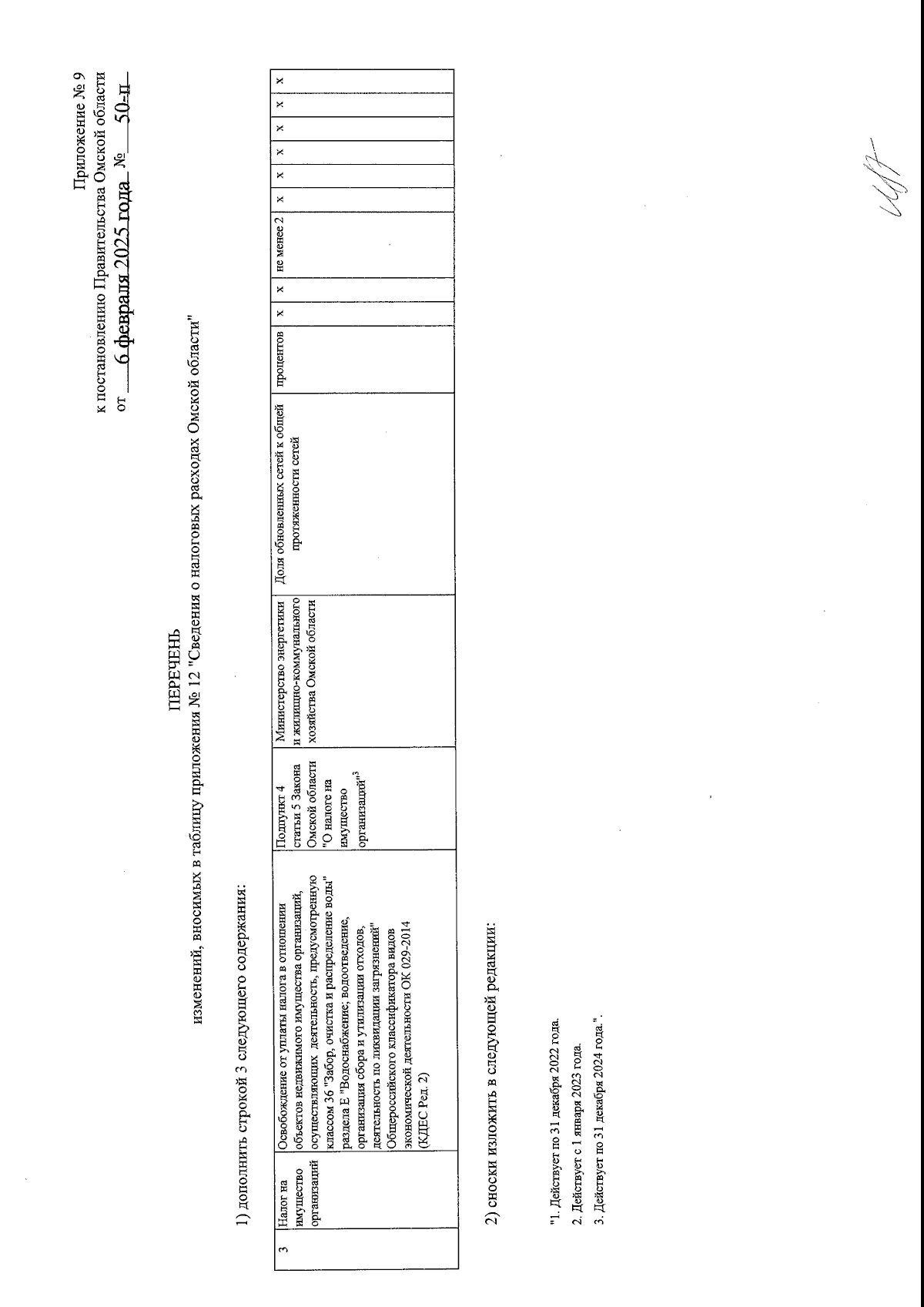
Постановление Правительства Омской области от 06.02.2025 № 50-п
"О внесении изменений в постановление Правительства Омской области от 28 октября 2023 года № 572-п"
Номер опубликования: 5500202502070003
Дата опубликования: 07.02.2025
Страница №28 из 28:
Увеличить