Официальное опубликование правовых актов
ОФИЦИАЛЬНОЕ ОПУБЛИКОВАНИЕ
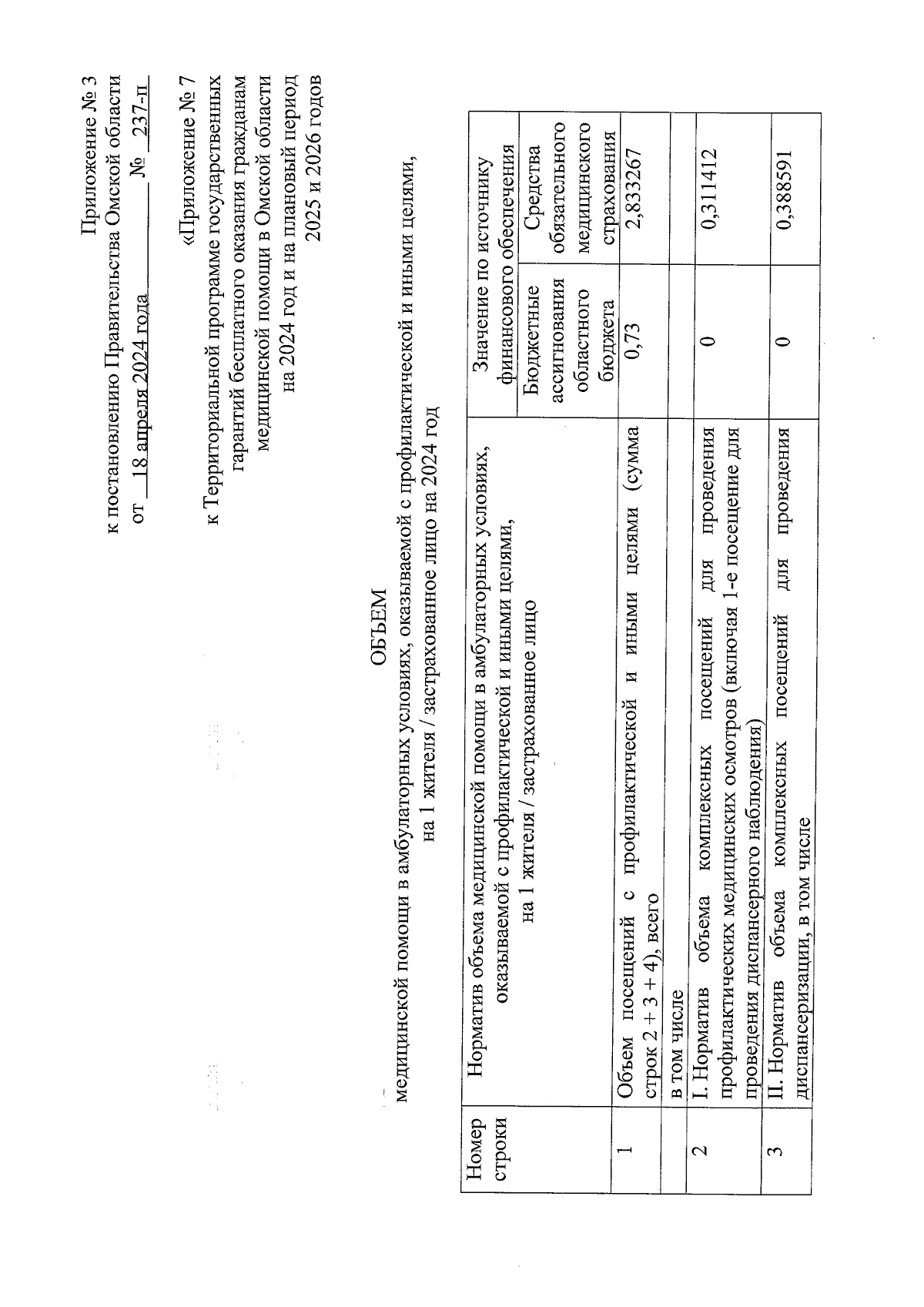
Постановление Правительства Омской области от 18.04.2024 № 237-п
"О внесении изменений в постановление Правительства Омской области от 28 декабря 2023 года № 757-п"
Номер опубликования: 5500202404180005
Дата опубликования: 18.04.2024
Страница №43 из 44:
Увеличить