Официальное опубликование правовых актов
ОФИЦИАЛЬНОЕ ОПУБЛИКОВАНИЕ
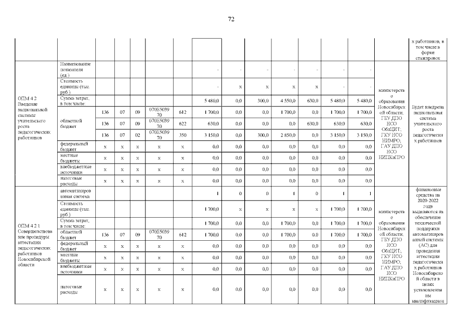
Приказ Министерства образования Новосибирской области от 18.06.2020 № 1336
"Об утверждении плана реализации мероприятий государственной программы Новосибирской области "Развитие образования, создание условий для социализации детей и учащейся молодежи в Новосибирской области" на 2020 год и плановый период 2021 и 2022 годов"
Номер опубликования: 5401202006180001
Дата опубликования: 18.06.2020
Страница №74 из 207:
Увеличить