Официальное опубликование правовых актов
ОФИЦИАЛЬНОЕ ОПУБЛИКОВАНИЕ
Приказ Министерства строительства Новосибирской области от 07.05.2020 № 275
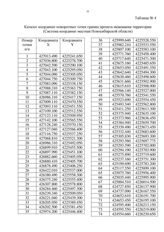
"Об утверждении проекта планировки территории для размещения железнодорожных путей необщего пользования в границах рабочего поселка Линево Искитимского района Новосибирской области и проекта межевания территории в его составе"
Номер опубликования: 5401202005070002
Дата опубликования: 07.05.2020
Страница №33 из 34:
Увеличить