Официальное опубликование правовых актов
ОФИЦИАЛЬНОЕ ОПУБЛИКОВАНИЕ
Приказ Министерства строительства Новосибирской области от 21.04.2020 № 247
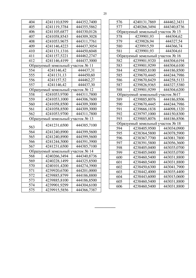
"Об утверждении проекта планировки территории для размещения железнодорожных путей необщего пользования в границах Усть-Чемского сельсовета Искитимского района Новосибирской области и проекта межевания территории в его составе"
Номер опубликования: 5401202004220001
Дата опубликования: 22.04.2020
Страница №27 из 27:
Увеличить