Официальное опубликование правовых актов
ОФИЦИАЛЬНОЕ ОПУБЛИКОВАНИЕ
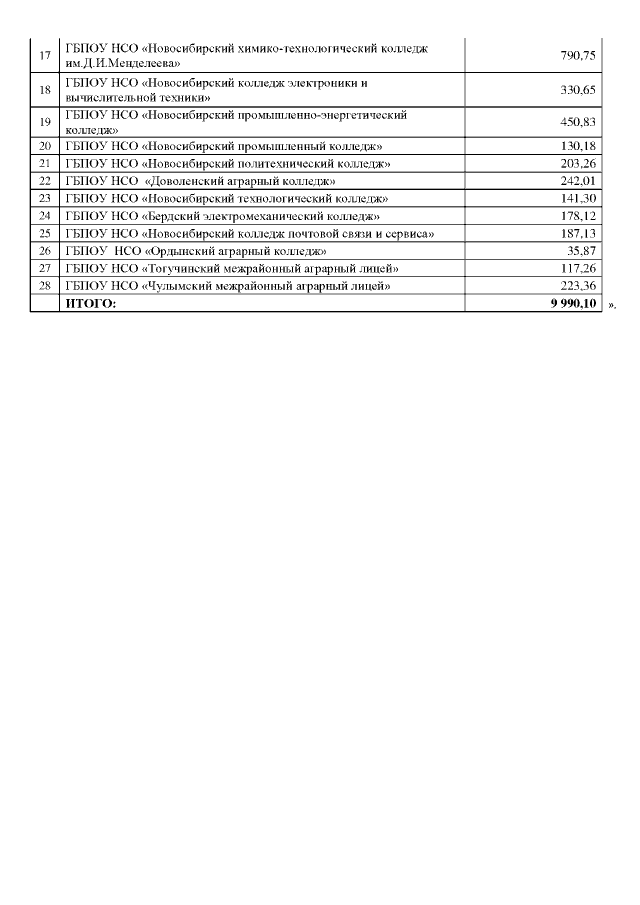
Приказ Министерства образования Новосибирской области от 25.02.2020 № 496
"О внесении изменений в приказ министерства образования Новосибирской области от 03.07.2019 № 1518"
Номер опубликования: 5401202002250005
Дата опубликования: 25.02.2020
Страница №33 из 33:
Увеличить