Официальное опубликование правовых актов
ОФИЦИАЛЬНОЕ ОПУБЛИКОВАНИЕ
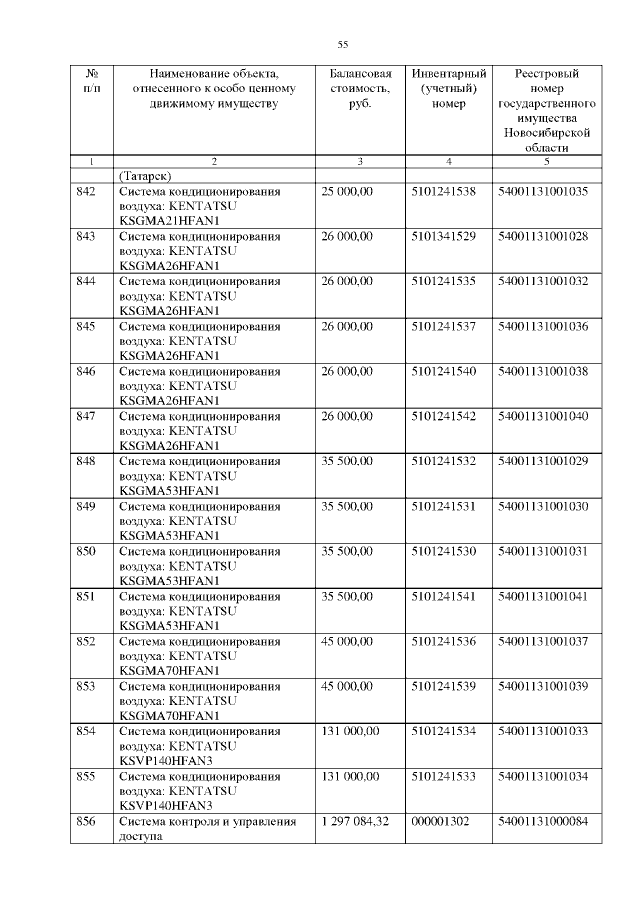
Приказ Министерства экономического развития Новосибирской области от 13.09.2019 № 95
"Об определении видов и перечней особо ценного движимого имущества государственных автономных учреждений, подведомственных министерству экономического развития Новосибирской области"
Номер опубликования: 5401201909130004
Дата опубликования: 13.09.2019
Страница №57 из 72:
Увеличить