Официальное опубликование правовых актов
ОФИЦИАЛЬНОЕ ОПУБЛИКОВАНИЕ
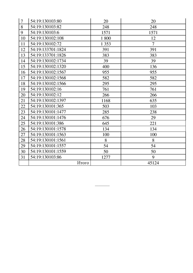
Приказ Министерства строительства Новосибирской области от 24.05.2019 № 296
"О внесении изменений в проект планировки территории для размещения объекта регионального значения автомобильной дороги регионального значения "Новосибирск – Ленинск-Кузнецкий" на участке км 12 – км 24 в границах муниципального образования Раздольненский сельсовет Новосибирского района Новосибирской области и проект межевания территории в его составе"
Номер опубликования: 5401201905270007
Дата опубликования: 27.05.2019
Страница №75 из 75:
Увеличить