Официальное опубликование правовых актов
ОФИЦИАЛЬНОЕ ОПУБЛИКОВАНИЕ
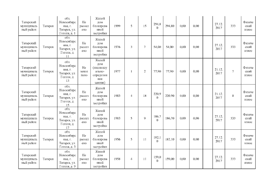
Приказ Министерства жилищно-коммунального хозяйства и энергетики Новосибирской области от 08.05.2019 № 90
"О внесении изменений в приказ министерства жилищно-коммунального хозяйства и энергетики Новосибирской области от 19.05.2015 № 79"
Номер опубликования: 5401201905130003
Дата опубликования: 13.05.2019
Страница №128 из 153:
Увеличить