Официальное опубликование правовых актов
ОФИЦИАЛЬНОЕ ОПУБЛИКОВАНИЕ
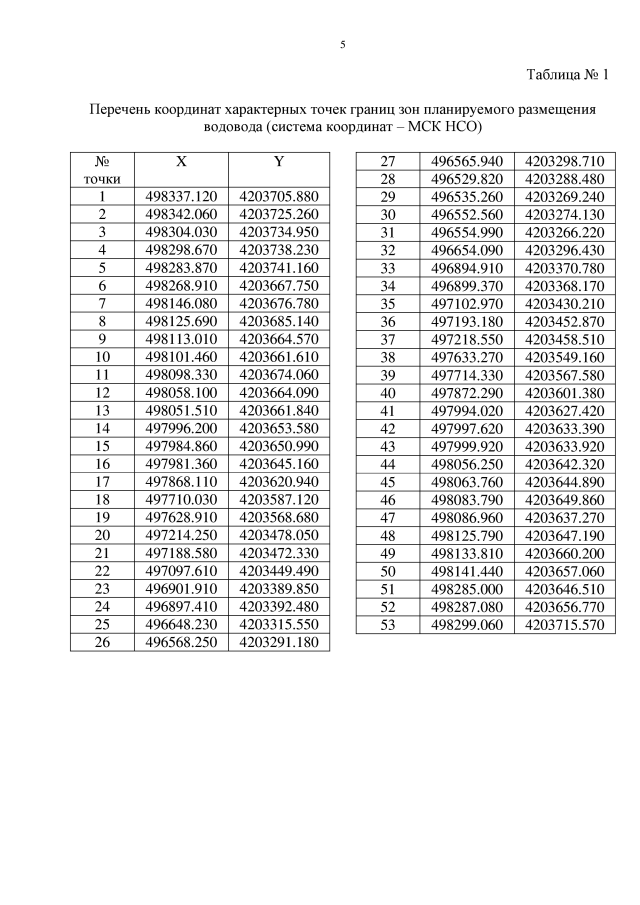
Приказ Министерства строительства Новосибирской области от 27.03.2019 № 171 "Об утверждении проекта планировки территории для размещения линейного объекта инженерной инфраструктуры "Строительство водовода Д=800 мм протяженностью 2,96 км от ТЭЦ-4 до площадки контррезервуаров" в границах Станционного сельсовета Новосибирского района Новосибирской области и проекта межевания территории в его составе"
Номер опубликования: 5401201903270006
Дата опубликования: 27.03.2019
Страница №13 из 35:
Увеличить