Официальное опубликование правовых актов
ОФИЦИАЛЬНОЕ ОПУБЛИКОВАНИЕ
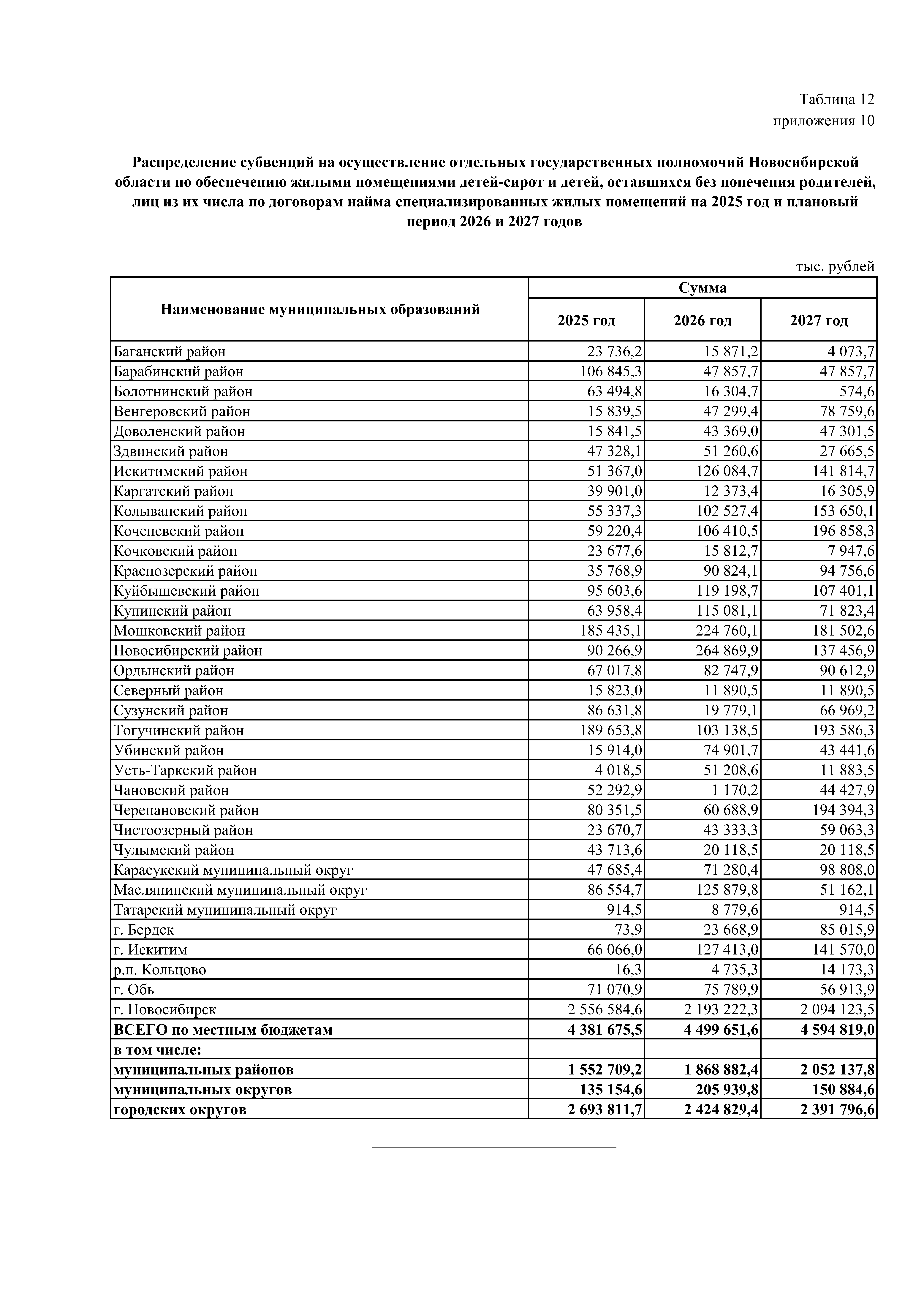
Закон Новосибирской области от 20.12.2024 № 546-ОЗ
"Об областном бюджете Новосибирской области на 2025 год и плановый период 2026 и 2027 годов"
Номер опубликования: 5400202412200002
Дата опубликования: 20.12.2024
Страница №478 из 593: