Официальное опубликование правовых актов
ОФИЦИАЛЬНОЕ ОПУБЛИКОВАНИЕ
Постановление Правительства Новосибирской области от 22.02.2017 № 65-п
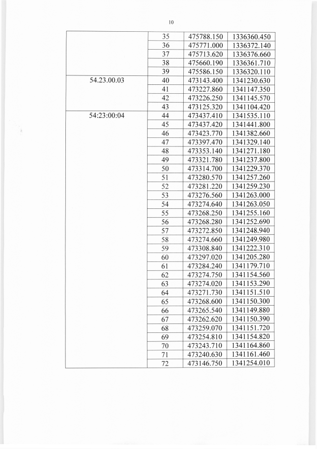
"Об утверждении проекта планировки территории для размещения объекта регионального значения автомобильной дороги регионального значения "992 км а/д "М-51" – Купино – Карасук" на участке км 29+880 – км 36+227 в границах муниципального образования Казаткульский сельсовет Татарского района Новосибирской области и проекта межевания территории в его составе"
Номер опубликования: 5400201702270005
Дата опубликования: 27.02.2017
Страница №16 из 30:
Увеличить