Официальное опубликование правовых актов
ОФИЦИАЛЬНОЕ ОПУБЛИКОВАНИЕ
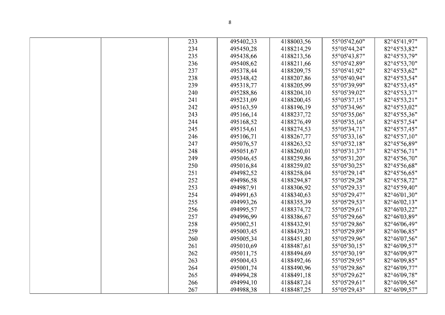
Постановление Правительства Новосибирской области от 24.05.2016 № 150-п
"Об утверждении границ особо охраняемой природной территории регионального значения – государственного природного заказника "Кудряшовский бор" Новосибирской области"
Номер опубликования: 5400201605250001
Дата опубликования: 25.05.2016
Страница №9 из 24:
Увеличить