Официальное опубликование правовых актов
ОФИЦИАЛЬНОЕ ОПУБЛИКОВАНИЕ
Постановление Комитета по тарифной политике Новгородской области от 15.12.2025 № 63
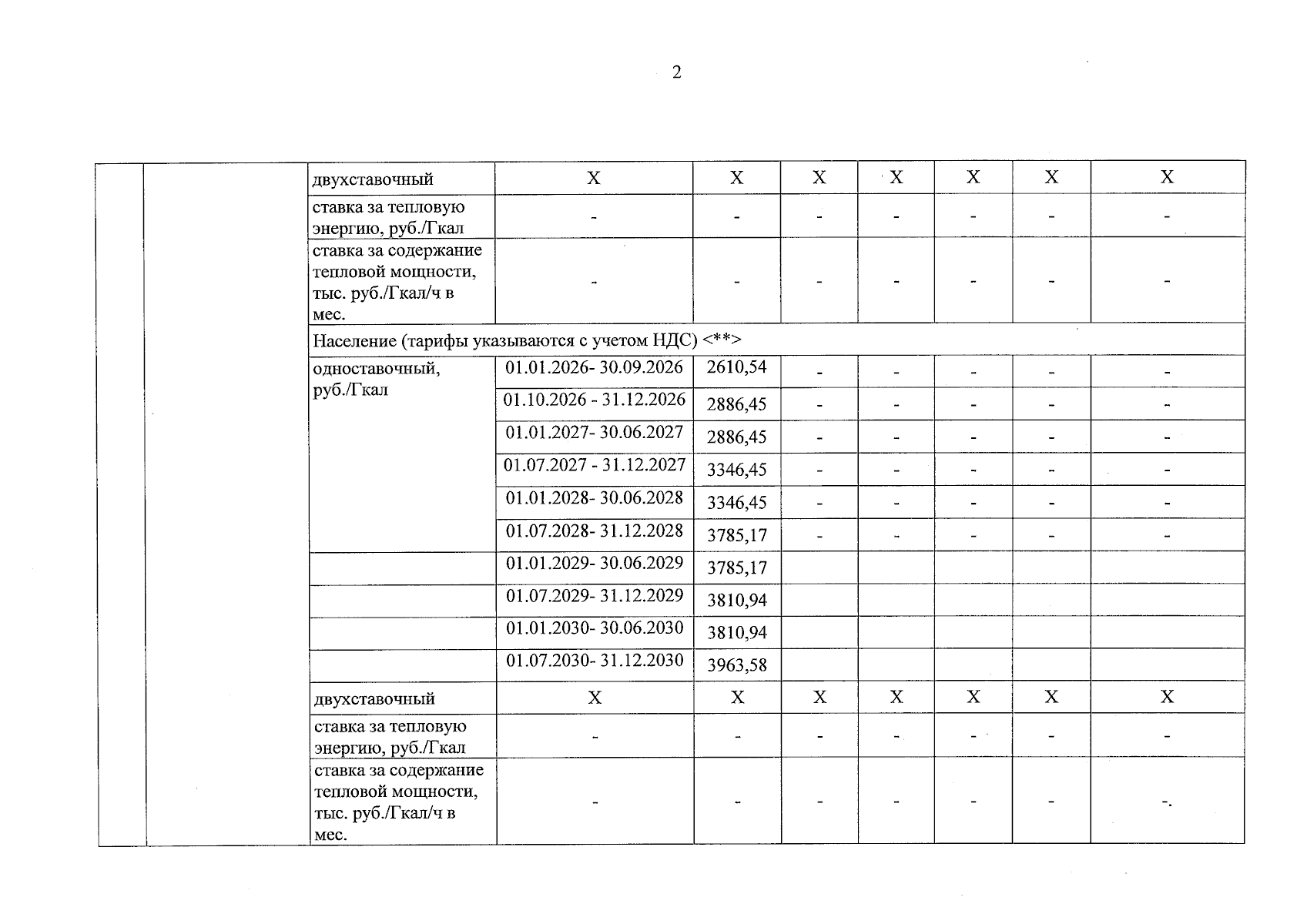
"О долгосрочных параметрах регулирования, тарифах на тепловую энергию (мощность) общества с ограниченной ответственностью "ТеплоМакс" (г. Великий Новгород, д. Григорово Новгородского муниципального округа Новгородской области) на 2026-2030 годы"
(Зарегистрирован 19.12.2025 № 1753)
Номер опубликования: 5301202512250042
Дата опубликования: 25.12.2025
Страница №7 из 8:
Увеличить