Официальное опубликование правовых актов
ОФИЦИАЛЬНОЕ ОПУБЛИКОВАНИЕ
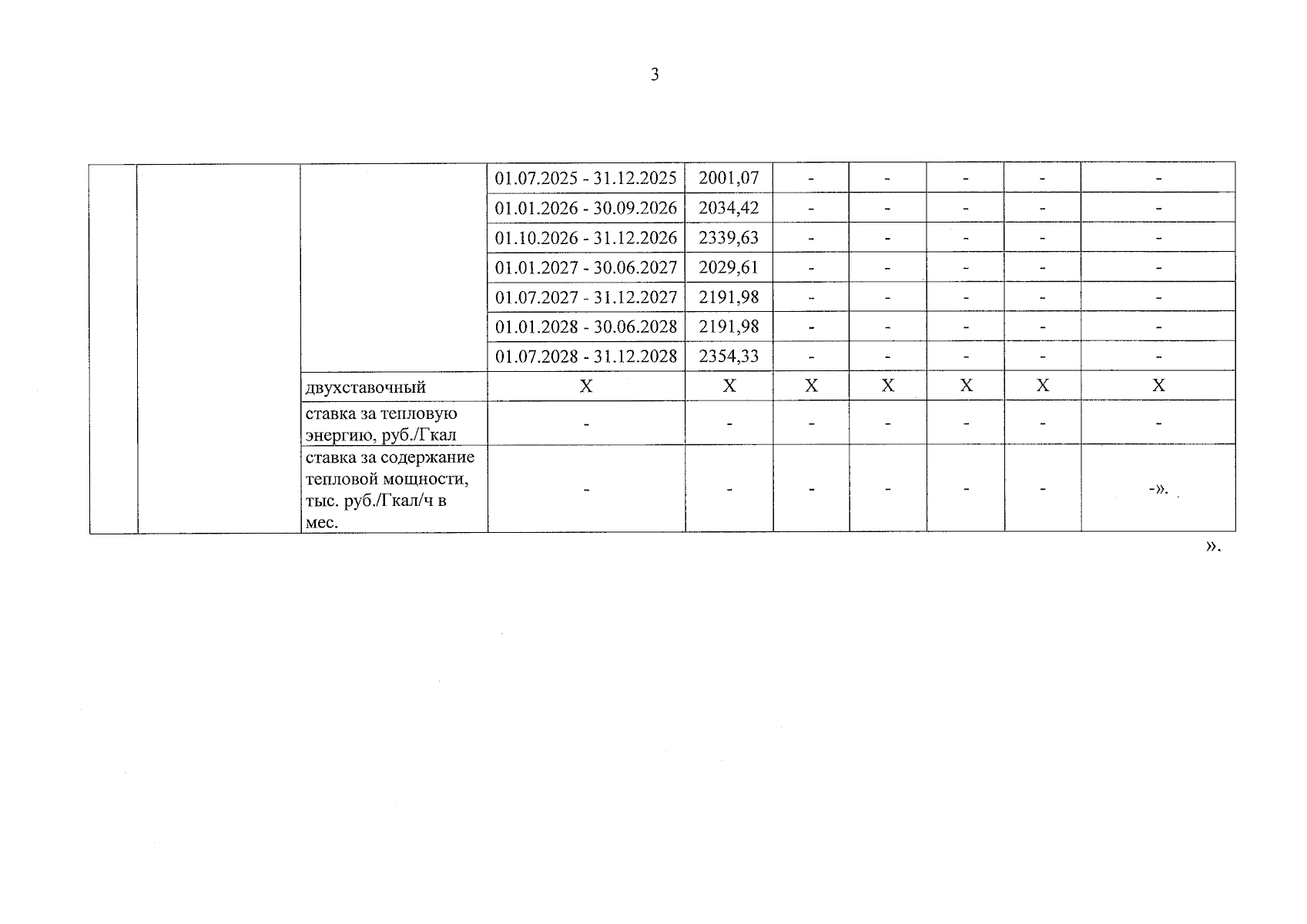
Постановление Комитета по тарифной политике Новгородской области от 18.12.2025 № 65/18
"О внесении изменения в постановление комитета по тарифной политике Новгородской области от 18.09.2025 №42/2"
(Зарегистрирован 23.12.2025 № 1787)
Номер опубликования: 5301202512250014
Дата опубликования: 25.12.2025
Страница №3 из 4:
Увеличить