Официальное опубликование правовых актов
ОФИЦИАЛЬНОЕ ОПУБЛИКОВАНИЕ
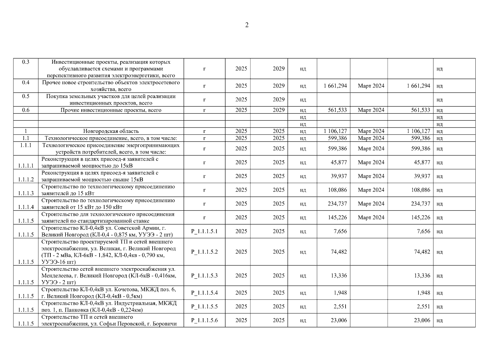
Постановление Комитета по тарифной политике Новгородской области от 05.12.2025 № 59/8
"Об утверждении инвестиционной программы акционерного общества "Новгородоблэлектро" на 2025-2029 годы"
(Зарегистрирован 11.12.2025 № 1707)
Номер опубликования: 5301202512150019
Дата опубликования: 15.12.2025
Страница №3 из 505:
Увеличить