Официальное опубликование правовых актов
ОФИЦИАЛЬНОЕ ОПУБЛИКОВАНИЕ
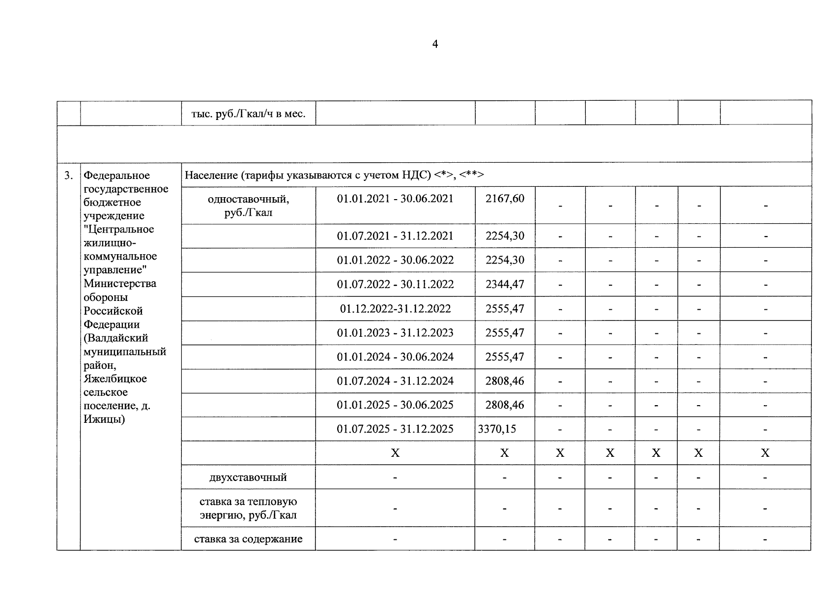
Постановление Комитета по тарифной политике Новгородской области от 11.12.2024 № 66/2
"О внесении изменений в постановление комитета по тарифной политике Новгородской области от 10.12.2020 № 72/5"
(Зарегистрирован 17.12.2024 № 1275)
Номер опубликования: 5301202412210025
Дата опубликования: 21.12.2024
Страница №4 из 9:
Увеличить