Официальное опубликование правовых актов
ОФИЦИАЛЬНОЕ ОПУБЛИКОВАНИЕ
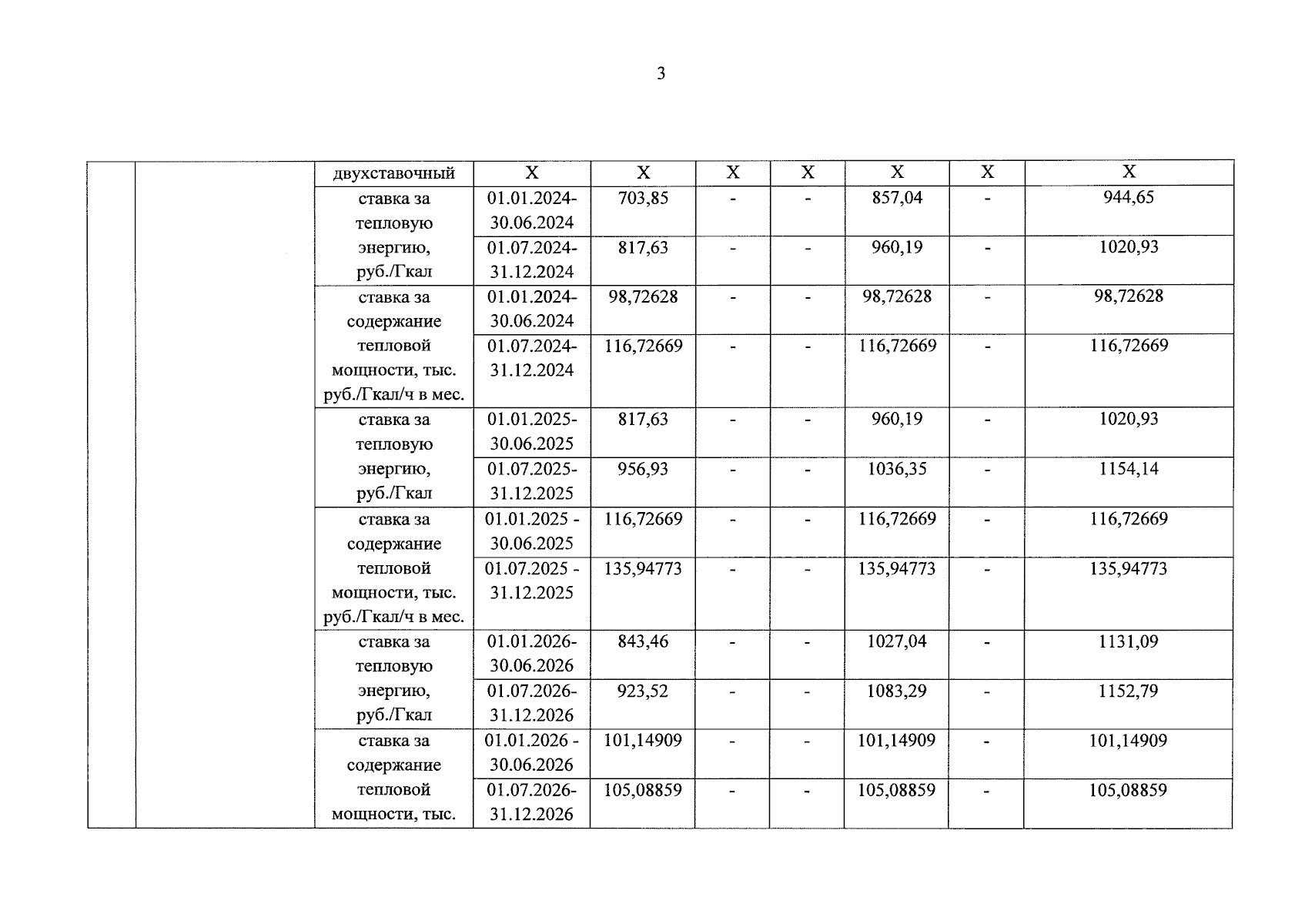
Постановление Комитета по тарифной политике Новгородской области от 12.12.2024 № 67/10
"О внесении изменений в постановление комитета по тарифной политике Новгородской области от 14.12.2023 № 77/3"
(Зарегистрирован 17.12.2024 № 1286)
Номер опубликования: 5301202412210022
Дата опубликования: 21.12.2024
Страница №3 из 6:
Увеличить