Официальное опубликование правовых актов
ОФИЦИАЛЬНОЕ ОПУБЛИКОВАНИЕ
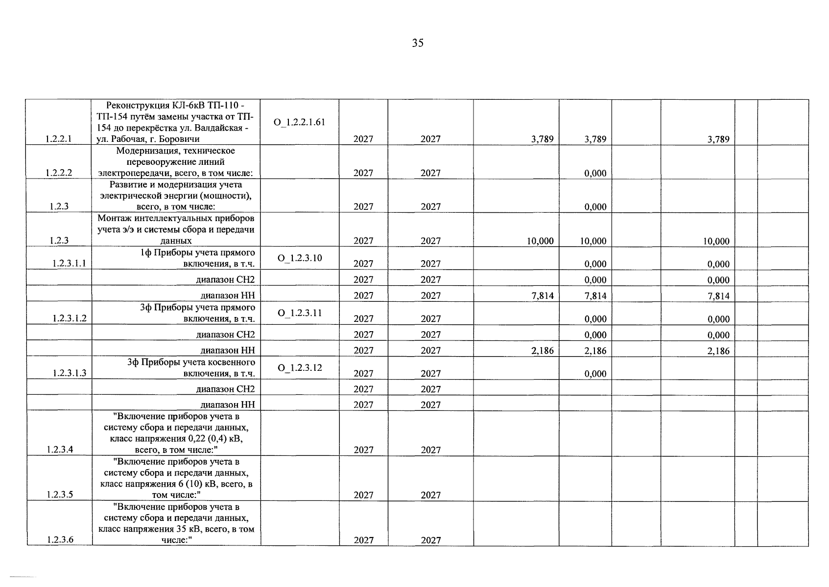
Постановление Комитета по тарифной политике Новгородской области от 22.10.2024 № 50/4
"Об утверждении инвестиционной программы акционерного общества "Новгородоблэлектро" на 2024-2029 годы"
(Зарегистрирован 24.10.2024 № 1107)
Номер опубликования: 5301202410300001
Дата опубликования: 30.10.2024
Страница №181 из 726:
Увеличить