Официальное опубликование правовых актов
ОФИЦИАЛЬНОЕ ОПУБЛИКОВАНИЕ
Постановление Инспекции государственной охраны культурного наследия Новгородской области от 28.05.2024 № 1
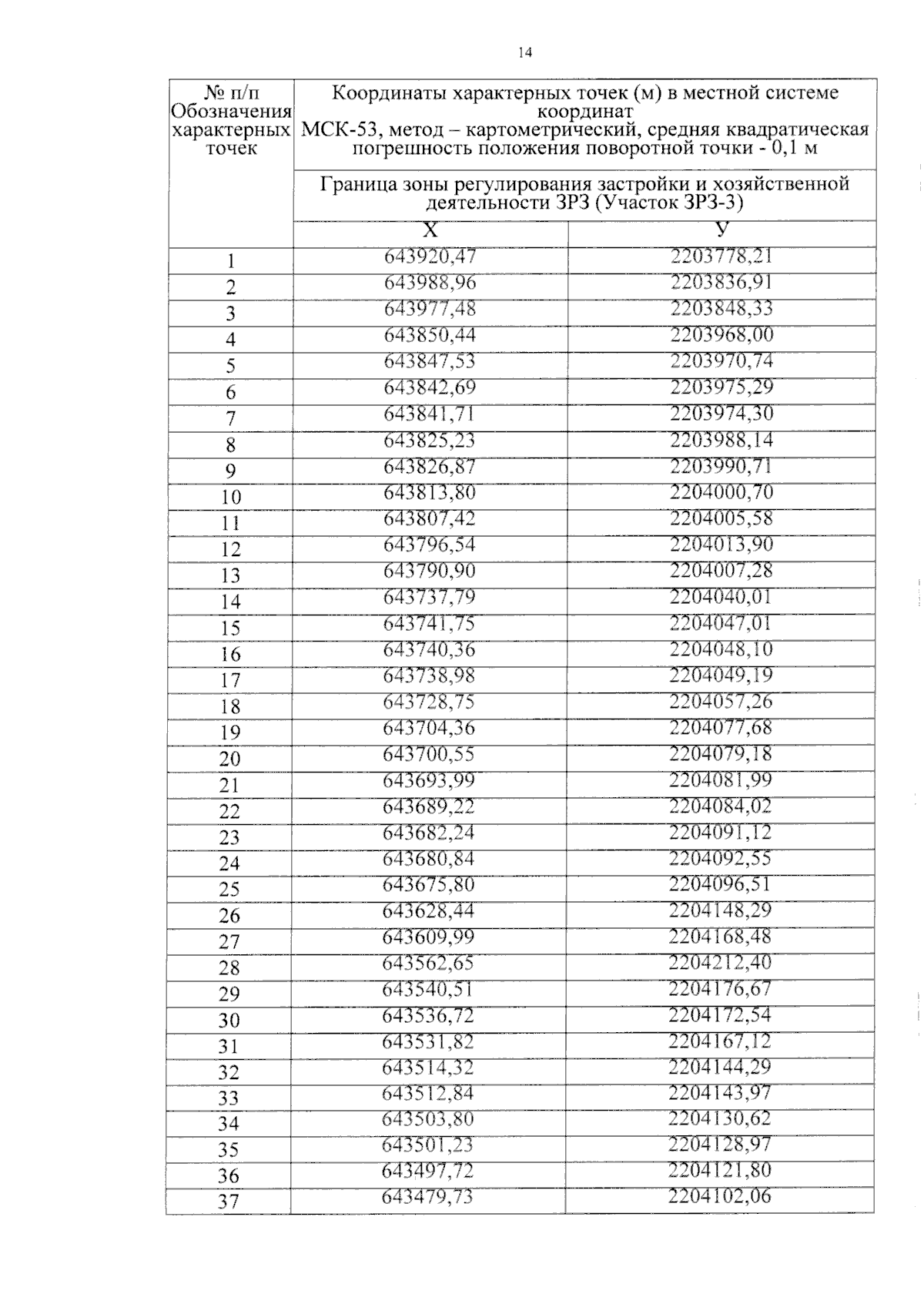
"Об утверждении границ зон охраны объекта культурного наследия регионального значения "Здание железнодорожного вокзала" 1877 г., расположенного по адресу: Новгородская область, Чудовский район, г. Чудово, ул. Октябрьская, д. 2, режимов использования земель и требований к градостроительным регламентам в границах данных зон"
(Зарегистрирован 30.05.2024 № 866)
Номер опубликования: 5301202406050003
Дата опубликования: 05.06.2024
Страница №14 из 20:
Увеличить