Официальное опубликование правовых актов
ОФИЦИАЛЬНОЕ ОПУБЛИКОВАНИЕ
Постановление Комитета по тарифной политике Новгородской области от 03.10.2023 № 55/3
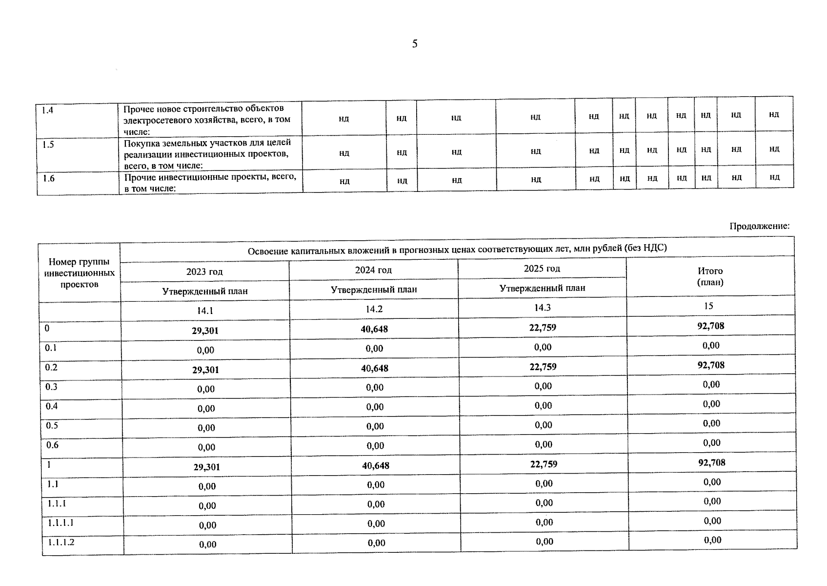
"Об утверждении изменений, вносимых в инвестиционную программу общества с ограниченной ответственностью "ТНС энерго Великий Новгород" на территории Новгородской области на 2023 - 2025 годы"
(Зарегистрирован 06.10.2023 № 357)
Номер опубликования: 5301202310090001
Дата опубликования: 09.10.2023
Страница №19 из 94:
Увеличить