Официальное опубликование правовых актов
ОФИЦИАЛЬНОЕ ОПУБЛИКОВАНИЕ
Постановление Министерства культуры Новгородской области от 20.09.2023 № 6
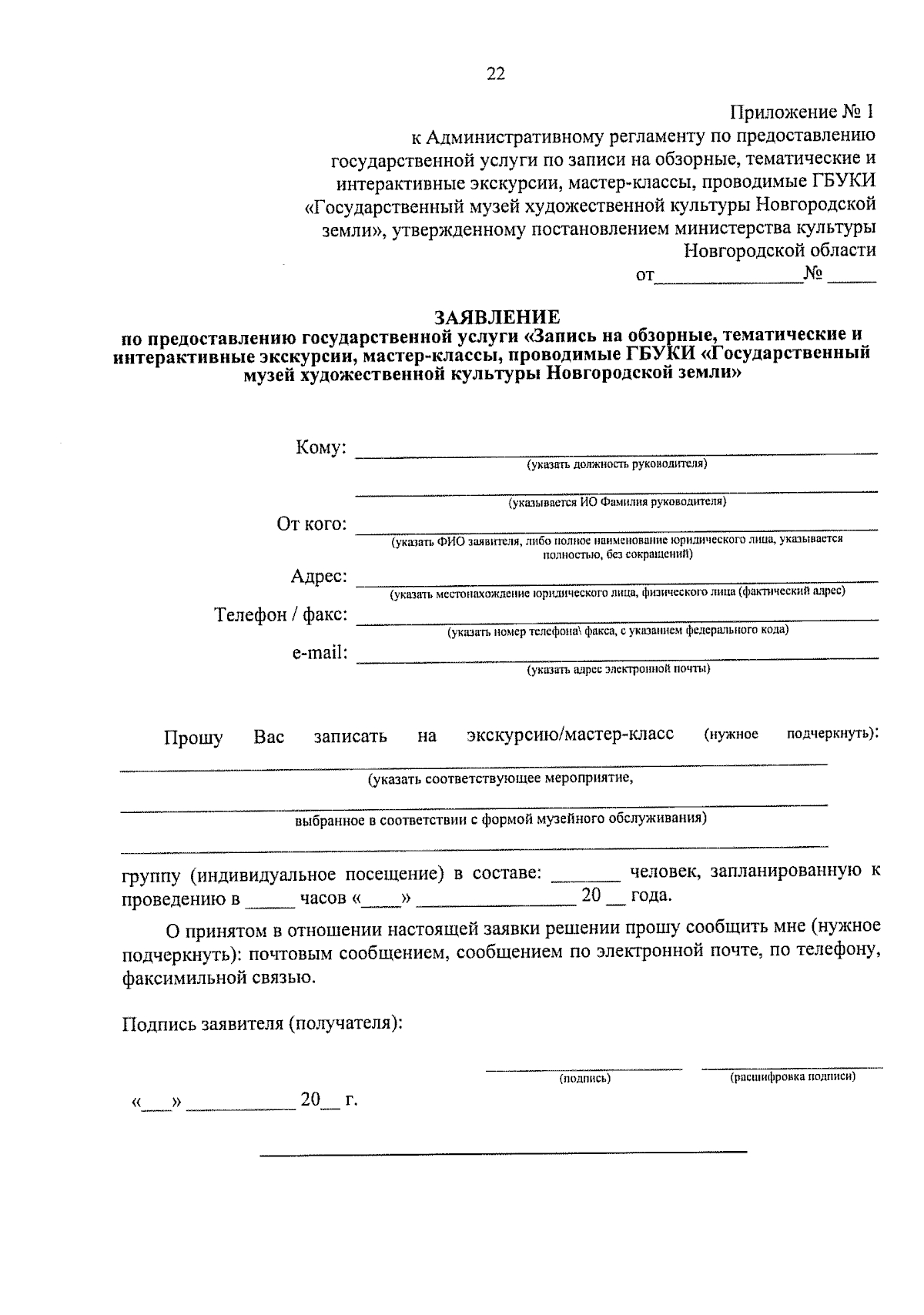
"Об утверждении Административного регламента по предоставлению государственной услуги по записи на обзорные, тематические и интерактивные экскурсии, мастер-классы, проводимые ГБУКИ "Государственный музей художественной культуры Новгородской земли"
(Зарегистрирован 22.09.2023 № 338)
Номер опубликования: 5301202309260004
Дата опубликования: 26.09.2023
Страница №22 из 24:
Увеличить