Официальное опубликование правовых актов
ОФИЦИАЛЬНОЕ ОПУБЛИКОВАНИЕ
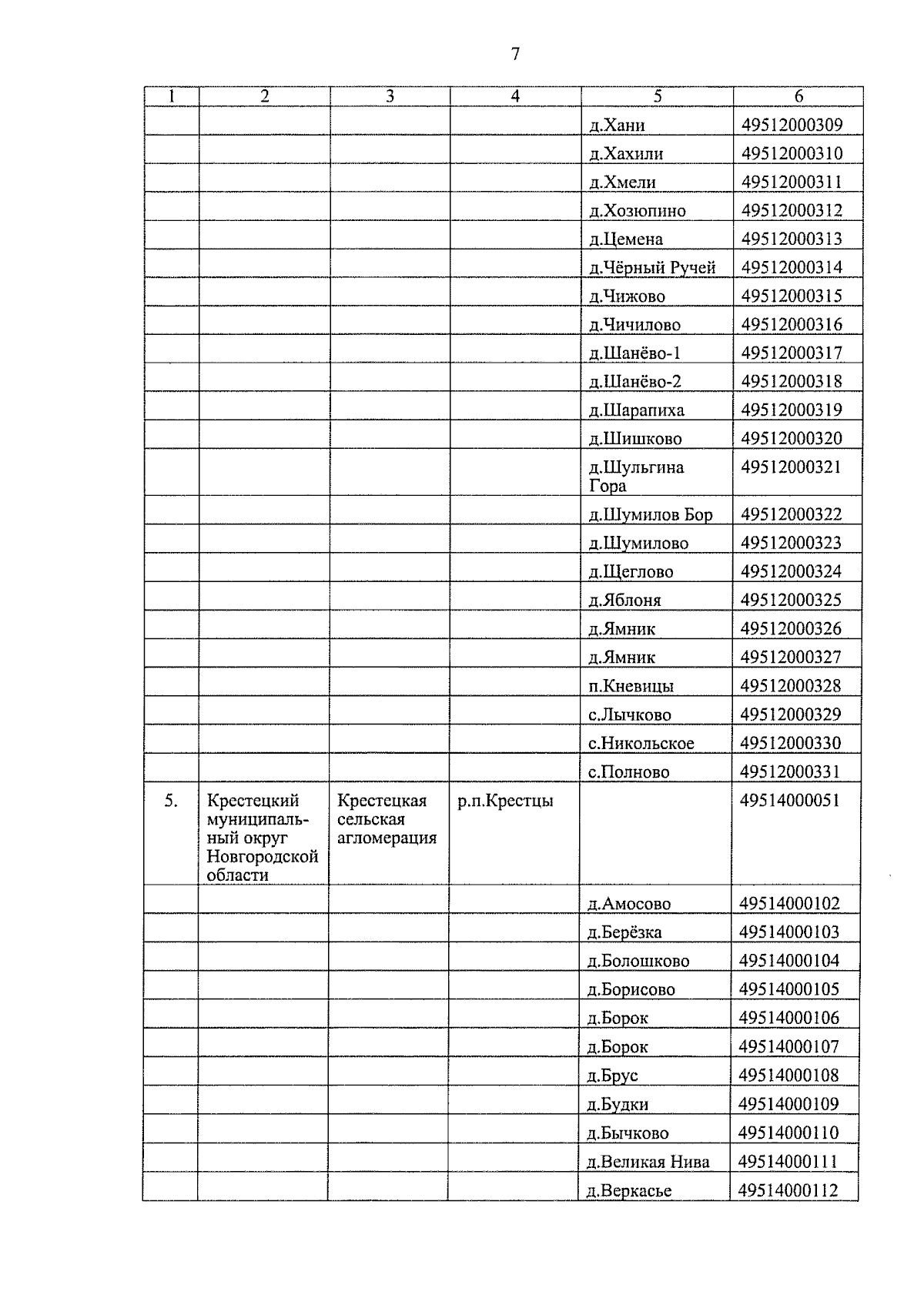
Постановление Правительства Новгородской области от 15.03.2024 № 122
"О внесении изменений в Перечень сельских агломераций, опорных населенных пунктов и прилегающих территорий"
Номер опубликования: 5300202403150001
Дата опубликования: 15.03.2024
Страница №8 из 23:
Увеличить