Официальное опубликование правовых актов
ОФИЦИАЛЬНОЕ ОПУБЛИКОВАНИЕ
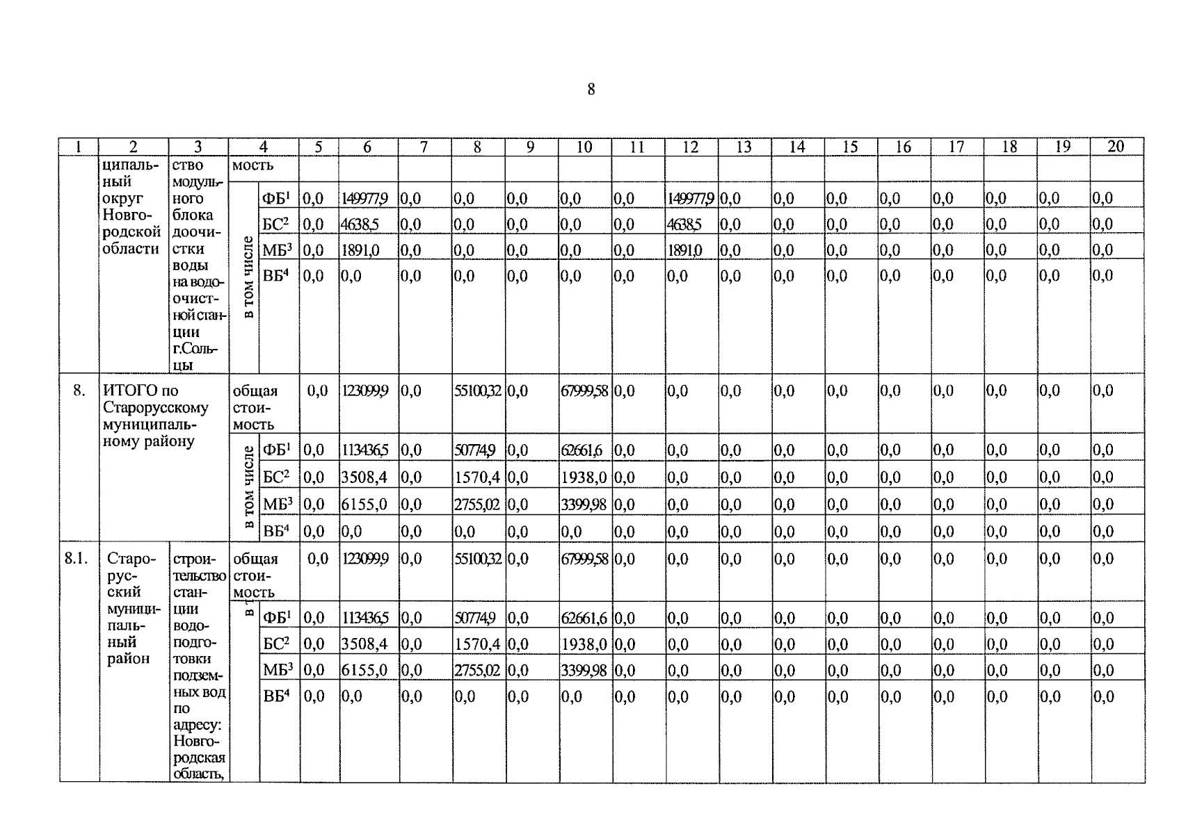
Постановление Правительства Новгородской области от 06.02.2024 № 48
"О внесении изменений в государственную программу Новгородской области "Чистая вода в Новгородской области на 2019-2025 годы"
Номер опубликования: 5300202402070003
Дата опубликования: 07.02.2024
Страница №31 из 50:
Увеличить