Официальное опубликование правовых актов
ОФИЦИАЛЬНОЕ ОПУБЛИКОВАНИЕ
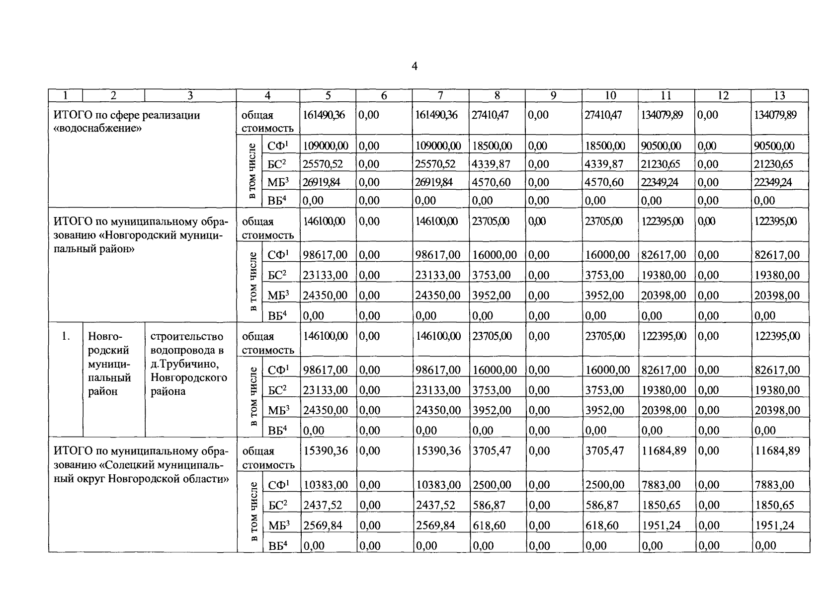
Постановление Правительства Новгородской области от 08.12.2023 № 543
"О внесении изменений в государственную программу Новгородской области "Модернизация систем коммунальной инфраструктуры Новгородской области на 2023-2027 годы"
Номер опубликования: 5300202312130007
Дата опубликования: 13.12.2023
Страница №12 из 18:
Увеличить