Официальное опубликование правовых актов
ОФИЦИАЛЬНОЕ ОПУБЛИКОВАНИЕ
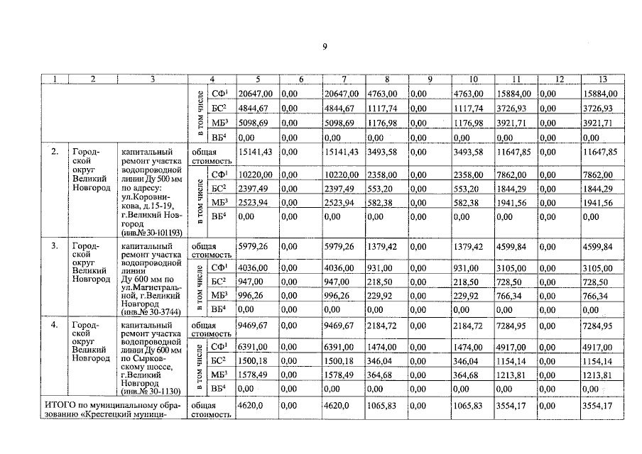
Постановление Правительства Новгородской области от 31.07.2023 № 339
"О внесении изменений в государственную программу Новгородской области "Модернизация систем коммунальной инфраструктуры Новгородской области на 2023-2027 годы"
Номер опубликования: 5300202308010003
Дата опубликования: 01.08.2023
Страница №23 из 45:
Увеличить