Официальное опубликование правовых актов
ОФИЦИАЛЬНОЕ ОПУБЛИКОВАНИЕ
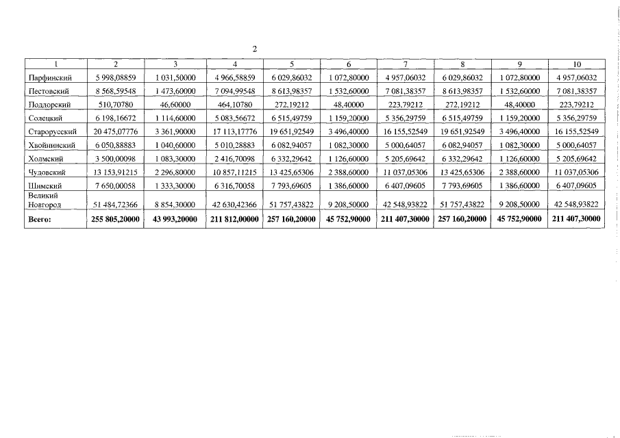
Областной закон Новгородской области от 30.09.2019 № 460-ОЗ
"О внесении изменений в областной закон "Об областном бюджете на 2019 год и на плановый период 2020 и 2021 годов"
Номер опубликования: 5300201910010010
Дата опубликования: 01.10.2019
Страница №625 из 652:
Увеличить