Официальное опубликование правовых актов
ОФИЦИАЛЬНОЕ ОПУБЛИКОВАНИЕ
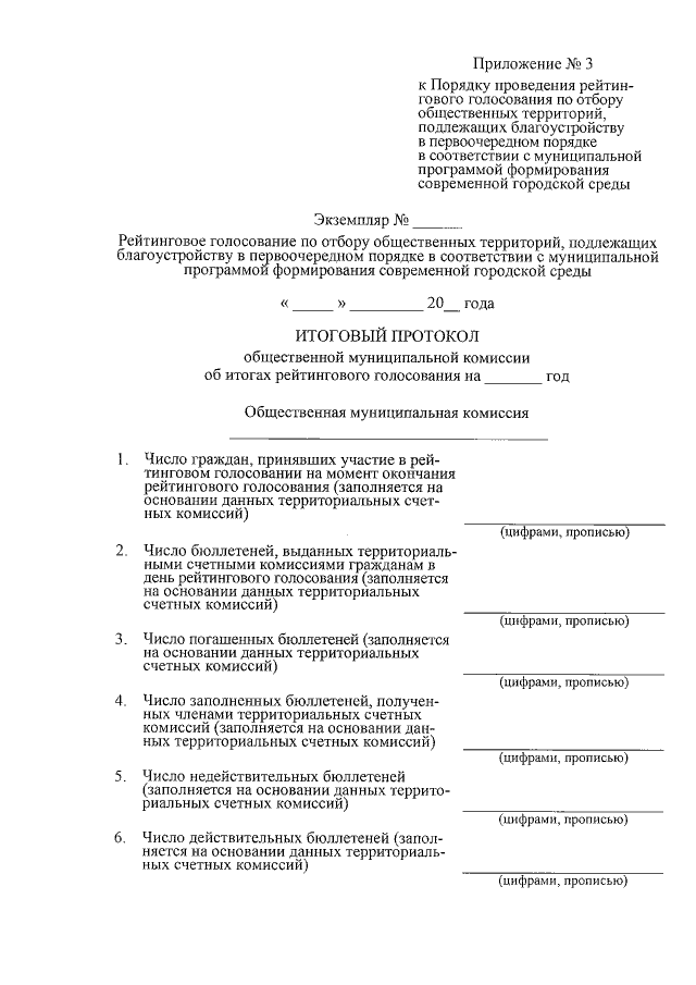
Постановление Правительства Новгородской области от 01.02.2019 № 53
"О проведении рейтингового голосования по отбору общественных территорий, подлежащих благоустройству в первоочередном порядке в соответствии с муниципальной программой формирования современной городской среды"
Номер опубликования: 5300201902050005
Дата опубликования: 05.02.2019
Страница №11 из 12:
Увеличить