Официальное опубликование правовых актов
ОФИЦИАЛЬНОЕ ОПУБЛИКОВАНИЕ
Указ Губернатора Новгородской области от 28.03.2016 № 108
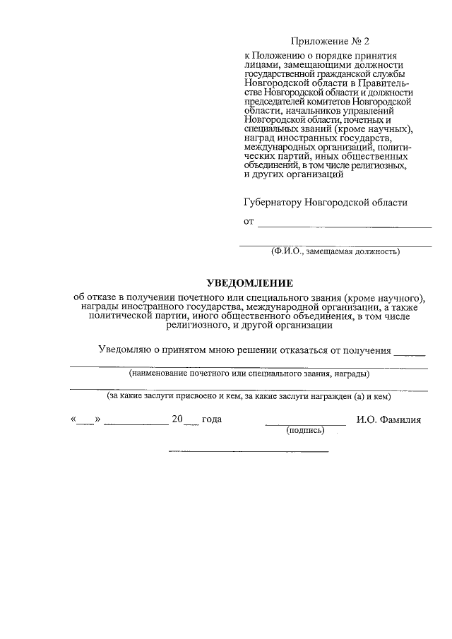
"Об утверждении Положения о порядке принятия лицами, замещающими должности государственной гражданской службы Новгородской области в Правительстве Новгородской области и должности председателей комитетов Новгородской области, начальников управлений Новгородской области, почетных и специальных званий (кроме научных), наград иностранных государств, международных организаций, политических партий, иных общественных объединений, в том числе религиозных, и других организаций"
Номер опубликования: 5300201604010007
Дата опубликования: 01.04.2016
Страница №7 из 8:
Увеличить