Официальное опубликование правовых актов
ОФИЦИАЛЬНОЕ ОПУБЛИКОВАНИЕ
Приказ Министерства градостроительной деятельности и развития агломераций Нижегородской области от 14.04.2026 № 04-02-03/7
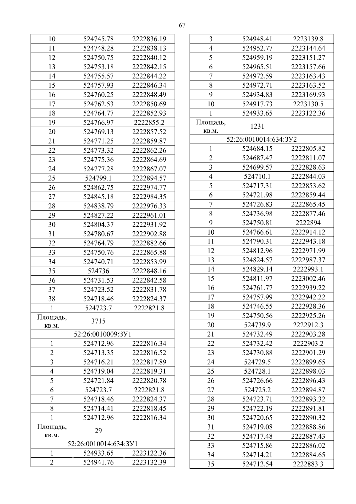
"Об утверждении документации по планировке территории (проект планировки территории, включая проект межевания территории), расположенной в северо-восточном направлении от д. Никульское Кстовского района городского округа город Нижний Новгород Нижегородской области"
(Зарегистрирован 24.04.2026 № 30234-330-004-02-03/7)
Номер опубликования: 5201202604240001
Дата опубликования: 24.04.2026
Страница №69 из 79:
Увеличить